所屬科目:技師◆研究分析方法
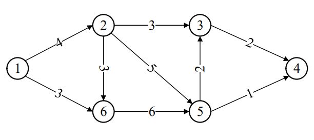
二、假設一個路網的節點及節線如下圖,節線上數字代表該路段長度。試以 Dijkstra 法求解節點 1 至節點 4 的最短路徑及路徑長度。再以 Yen 法求 解節點 1 至節點 4 的第二最短路徑及路徑長度。(25 分)
四、兩項交通建設 A 及 B 的分年成本及經濟效益如下表。以折現率 5%,試 計算交通建設 A 的益本比(B/C)、淨現值及內部報酬率。不考慮預算排 擠性,若交通建設 A 及 B 僅能擇一,應該選那一項?(25 分)