所屬科目:流體力學
二、穴蝕(cavitation)現象常發生於渦輪機、螺旋槳葉片、水庫溢洪道及管 流之轉彎處,因此在工程應用上,為避免此現象,會要求流場之壓力不 得低於水之蒸氣壓。如下圖所示,有一水流經管徑 D = 0.4 m,d = 0.1 m 之漸縮管,入口處點 1 之錶壓力 P1=120 kPa。試問在水溫為 15℃下, 為避免點 2 處流速過大導致穴蝕,則流量 Q 不得大於多少?(在 15℃ 下,水之飽和蒸氣壓,且密度為 1000 kg/m3)
(一)假設遠處壓力為 ,求圓柱表面之壓力分佈P( a, θ) 。
(三)計算平均流速 。(6 分)
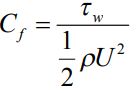
(一)運用動量積分方程式 ,試推導出δ與水平方向 x 之關係式。(為壁面剪應力,θ為邊界層動量厚度)
(二)計算摩擦阻力係數(friction drag coefficient)。
(hint: )