阿摩線上測驗
登入
首頁
>
流體力學
>
109年 - 109 專技高考_造船工程技師:流體力學#93211
> 申論題
題組內容
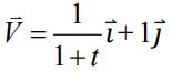
一、給定一無黏性二維流場
,其中
為 x, y 方向之單位向量。
(二)試求在t =0 啟始時,流體質點在(1, 1)之徑線(pathline)。
相關申論題
(一)試求在t =0 時,通過點(1, 1)之流線(streamline)。
#384190
二、穴蝕(cavitation)現象常發生於渦輪機、螺旋槳葉片、水庫溢洪道及管 流之轉彎處,因此在工程應用上,為避免此現象,會要求流場之壓力不 得低於水之蒸氣壓。如下圖所示,有一水流經管徑 D = 0.4 m,d = 0.1 m 之漸縮管,入口處點 1 之錶壓力 P1=120 kPa。試問在水溫為 15℃下, 為避免點 2 處流速過大導致穴蝕,則流量 Q 不得大於多少?(在 15℃ 下,水之飽和蒸氣壓,且密度為 1000 kg/m3)
#384192
(一)假設遠處壓力為 ,求圓柱表面之壓力分佈P( a, θ) 。
#384193
(二)將上項結果以圖(P-θ 圖)表示之,並說明圓柱受力情形。
#384194
(一)試問在那些條件下,才可以符合完全發展流(fully-developed flow)之 假設?
#384195
(二)此流場為層流或紊流?並敘述判斷管內流場層流或紊流之依據。
#384196
(三)計算平均流速 。(6 分)
#384197
(四)計算單位長度之壓力降△P/L。
#384226
(一)運用動量積分方程式 ,試推導出δ與水平方向 x 之關係式。(為壁面剪應力,θ為邊界層動量厚度)
#384198
(二)計算摩擦阻力係數(friction drag coefficient)。 (hint: )
#384199
相關試卷
115年 - 115 身心障礙特種考試_三等_水利工程:流體力學#138962
115年 · #138962
114年 - 114 地方政府公務特種考試_三等_水利工程:流體力學#134777
114年 · #134777
114年 - 114 地方政府公務特種考試_四等_水利工程:流體力學概要#134736
114年 · #134736
114年 - 114 專技高考_水利工程技師:流體力學#133675
114年 · #133675
114年 - 114 公務升官等考試_薦任_水利工程:流體力學#133259
114年 · #133259
114年 - 114 普通考試_水利工程:流體力學概要#128762
114年 · #128762
114年 - 114 高等考試_三級_水利工程:流體力學#128749
114年 · #128749
114年 - 114 身心障礙特種考試_三等_水利工程:流體力學#126638
114年 · #126638
113年 - 113 地方政府公務特種考試_三等_水利工程:流體力學#124528
113年 · #124528
113年 - 113 地方政府公務特種考試_四等_水利工程:流體力學概要#124496
113年 · #124496