所屬科目:警專◆乙組數學
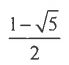
1.設a,b為實數滿足a>b,且a+b=3,ab=1,則a-b的值為何?(A)7(B)5(C)(D)
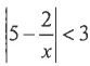
2.設為實數,若不等式 的解為a<x<b,則a+b的值為何?(A)1(B)(C)(D)
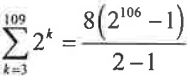
3.若108109=ax108108+108107,則的值為何?(A)(B)(C)(D)
9.已知多項式f(x)除以的商式為q(x),餘式為r。則f(x)除以2x-1的餘式為何?(A)(B)r(C)2r(D)以上皆非
11.已知一次函數f(x)滿足了f(8)=38,f(k)=39,f(10)=310,則k=?(A)9 (B) (C)8 (D)
13.人類的大拇指自指尖到腕骨是由三塊骨頭所組成令從指尖到腕骨的這三塊骨頭的長度分別為a1、a2、a3。據統計,當a1、a2、a3,是等比數列且滿足a3=a1+a2時,大拇指的型態被認為是最完美求完美大拇指之三塊骨頭長度的公比為何?(A)(B)(C)(D)
17.若,則正整數n的值為何? (A)5 (B)6 (C)7 (D)8
19.一批6個燈泡中有2個不良品,小華隨機買3個燈泡,買到不良品個數的期望值為何?(A)(B)(C)(D)1
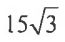
20.已知一等腰三角形頂角為100°,底長為2,則下列何者是底邊上的高? (A)tan40° (B) (C)sin40° (D)cos40°
21.設a、b、c表示AABC的三邊長,且滿足a2+b2+c2-ab-bc-ca=0,若△ABC的周長為18,則△ABC的面積為何?(A)(B)(C)(D)條件不足,無法判斷
23.已知,下列哪個∠A能使△ABC的面積最小? (A)∠A=78° (B)∠A=96° (C)∠A=120° (D)∠A=132°
24.△ABC中,已知且∠A=60°,則所有可能的長度之和為多少? (A)3 (B)5 (C)8 (D)13
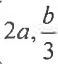
26.平面上四點A(1,-2),B(3.1),C(0,-1),D(6,-2),若向量,x,y為實數,求y=? (A)-4 (B)-3 (C)-2 (D)-1
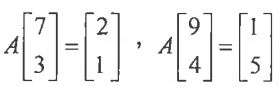
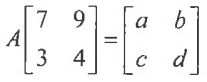
27.設實係數二階方陣A滿足,若,則a+b+c+d=?(A)6(B)7(C)8(D)9
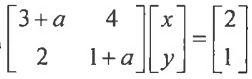
28.設方程式有無限多組解,則a的值為何?(A)-1(B)1(C)5(D)-5
29,座標平面上給兩定點A(5,2),B(2,0},點P在拋物線y2=8x上,則的最小值為何? (A)5 (B)6 (C)7 (D)8
30.座標平面上的橢圓上有幾個點與原點的距離正好是整數值? (A)14 (B)16 (C)18 (D)20
31.關於根式的運算,下列敘述哪些是正確的? (A)是無理數(B)(C)的小數部分是(D)若的小數部分是x,則x2+4x=(E)
32.設a=20.2,b=40.05,則下列選項哪些是正確的? (A)a=2b(B)a=b2(C)a+b=20.3(D)axb=20.3(E)
39.下列有關級數的敘述,哪些正確?(A)(B)(C)(D)(E)
40.已知a,b,c,d為實數,平面上向量(a,b)與(c,d)所張成的三角形面積,與下列哪些選項必定相等? (A)向量(b,d)與向量(a,c)張成的三角形面積 (B)向量(b,a)與向量(c,d)張成的三角形面積 (C)向量()與向量(18c,3d)張成的三角形面積 (D)向量(a+b,a-b)與向量(c+d,c-d)張成的三角形面積 (E)向量(a+2b,b)與向量(c+2d,d)張成的三角形面積