所屬科目:警專◆乙組數學
2. 三次函數y=f(x)的圖形如右圖,試問不等式f(x)<0的解為何?(A) x<3 (B)1<x<3(C)x<1或x=3 (D)x<3但X≠1
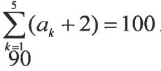
3. 已知且,試求=?(A)90 (B)50 (C)140 (D)200
4. 請在下列選項中,選出最大值。(A) sin110° (B) sin120° (C) sin130 ° (D) sin140 °
5. 從2,3,5,7,11,13,17,19 這8個數中,任選兩個數a,b構成分數,則分數為真分數的共有幾個?(A) 14 (B) 28 (C) 56 (D) 256
6. 已知黑桃、紅心、方塊、梅花四種花色各有J、Q、K、A四張撲克牌。今從此16張牌隨機抽1張,假設H為抽到紅心的事件,A為抽到A的事件,試求機率P(H∪A)。(A)(B)(C)(D)
7. 兩組資料A與B的散布圖與相關係數,如下圖所示。試問下列哪一選項可能是C散布圖的相關係數?(A)-0.2261 (B)0.4267 (C)0.8997 (D)1.3215
8. 設G為△ABC的重心,,試求長度。(A)(B)(C)(D)
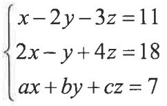
9. 方程組透過矩陣列運算後可得,試問方程組的解為何?(A) (1,-8, 2) (B) (-1,8,-2) (C)無限多解 (D)無解。
11. 正方形ABCD的邊長為6,E在上,且,F為中點,則=?(A)-30 (B) 30 (C) -6 (D) 6
12. 兩平面E1:3x+4y-5z=2,E2:4x-y+z=2的兩面角θ,試問|Cosθ|=?(A)(B)(C)(D)
14. 下列實數何者最大?(A)(B)(C)(D)
16. 若y=2x的圖形分別與y=3、y=6交於A、B兩點,試=?(A)(1,3) (B)(2,3) (C)(3,2)(D) (3,1)
17. 著名的巴斯卡三角形如右圖,第一列為1,第二列為11,第三列為1,2,1,⋯⋯,請問第十列中的所有數總和為何?(A) 256 (B) 512(C) 1024 (D)2048
18. 春節9天連假中,需要甲、乙、丙三人到公司輪流值班,每天排一人,已知每人均連續3天排班,試問共有幾種排班方式?(A)1 (B) 3! (C) (D)
21. 有三组學生,其人數及平均身高如右表,則這三組學生的平均身高為多少公分?(A) 163 (B) 164 (C) 165 (D) 166
22. 坐標平面上,給定A(0,0)、B(6,0),動點P(x,y)滿足,則動點P所形成的軌跡圖形為何?(A)直線 (B)橢圓 (C)雙曲線 (D)圓
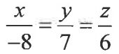
23. 已知相交於(0,0,0),試求同時垂直L1與L2的直線方程式(A) 7x+6y-8z=0 (B) 8x-7y-6z=0 (C)(D)
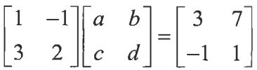
24. 設矩陣乘法,試選出下列正確選項。 (A) a=3 (B) b=3 (C) c=3 (D) d=3
25. 隨機變數X的機率分布為二項分布X~B(n,p),且期望值E(X)=5,標準差σ(X)=2,則p值為何?(A)(B)(C)(D)
32. 右圖為一個正立方體,下列哪些直線與直線DF為歪斜關係?(A)(B)(C)(D)(E)
34. 平面上三直線x-2y=4,3x-y=1,2x+3y=5所圍成三角形,如右圖,已知點(a,b)在三角形內部,則下列那些為真?(A) a-2b<4 (B) 3a-b<1 (C) 2a+3b)<5 (D) a>b (E)a>0且b>0
36. 為橢圓,為雙曲線,已知與共交點,則與可能有幾個交點?(A)0 (B) 1 (C) 2 (D) 3 (E)(一律給分)
37. 甲、乙、丙三人玩「數支數支最多五支遊戲」,規定每人出手指頭數目為1到5支,且每人獨立出手,下列敘述哪些正確?(A)手指頭數目總和最少1支(B)手指頭數目總和最多15支(C)「手指頭數目總和為9」的機率大於「手指頭數目總和為8」的機率(D)甲、乙、丙都出3支的機率為(E)甲出3支的機率為
38. (-3,-4)為標準位置角θ終邊上一個點,請選出正確選項。(A)θ為第三象限角(B)180°<θ<270° (C)sin6 = (D) tanθ= (E)點(3,4)也在θ的終邊上。
39. 坐標平面上有一正方形,其中有一邊所在的直線斜率為5,而此正方形的對角線所在直線的斜率為何?(A)(B)(C)(D)(E) 0