所屬科目:警專◆乙組數學
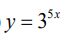
1. 請問與下列哪一個選項中的值相等? (A) (B) (C) (D) 。
2. 直線3x+4y+5=0的斜率為下列哪一個選項中的值? (A)(B)(C) (D)。
3. 有一個等比數列,已知其首項為 2,公比為√ 3 ,請問此等比數列前 7 項的值中,有幾項為有理數? (A)3 (B)4 (C)5 (D)7 。
4. 某班學生 50 人,數學考試成績不理想,全班最高分為 80 分,老師讓全班每人加 15 分,則關於調整後的全 班成績,下列哪一個選項中的數據不變? (A)算術平均數 (B)中位數 (C)眾數 (D)標準差 。
5. 求之值為何?(A)-1(B)0(C)1(D)2
6. 請判斷下列哪一個選項為多項式f(x)=x3-x2-8x-4的因式? (A) x (B) x -1 (C) x + 2 (D) x - 2 (E)本題送分。
7. A、B、C、D 四個巡邏點的平面位置圖如右圖所示,巡邏員準備從巡邏點 A 出發, 沿著路徑(圖中的線段)到 B、C、D 三個巡邏點巡邏,最後再回到 A 點,而且走過的路徑不再重複,試問巡邏員的巡邏過程共有幾種可能的走法?
(A)6 (B)8 (C)12 (D)27 。
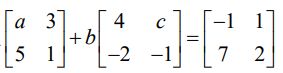
8. 設 A 為 3 ×2 階矩陣,且 ,試問a+b+c之值為何? (A)3 (B)7 (C)13 (D)19 。
9. 在坐標平面上,由 A 點 (2,-7)出發,朝 =( -6,8) 方向前進 10 單位長,會到達下列哪一個點?(A) ( -4 , 1 ) (B) ( 5 , -11 )(C) ( -1 , -3 ) (D) ( 8 , -15 )
10. 阿明、阿添兩人同射一靶,假設阿明射中的機率為 0.75,阿添射中的機率為 0.8,兩人是否命中為獨立事件, 則兩人恰有一人命中的機率為何? (A)0.6 (B)0.35 (C)0.2 (D)0.15 。
11. 請問滿足| x - √ 15| <4 的實數解中,有多少個整數? (A)7 (B)8 (C)9 (D)10 。
12. 擲一枚均勻的硬幣三次,求在第一次出現反面的條件下,三次中恰好出現兩次反面的機率為何? (A)(B)(C)(D)。
13. 坐標空間中有一圓,其直徑的兩端點為 A(1,4,7)、B (-5,6,-3),則此圓的圓心坐標為何? (A) (- 3,1, -5) (B) ( -4,10,4) (C) (- 2,5,5) (D) ( -2,5,2) 。
14. 已知二次函數 f(x)=-2(x+1)2+3 ,請判斷下列哪一個選項中的值最大? (A) f (10) (B) f (7) (C) f (- 3) (D) f ( -5) 。
15. 數列 的遞迴關係式如下:a1=1,a2=2 且an+2=an+1-2an,n 為正整數,求此數列的第五項 a5 為何?(A) -4(B) -2(C) 0 (D) 4
16. △ABC 中, ∠ A= 87° 且∠ B=48° , = 4 √2 ,則△ABC 外接圓半徑為何? (A)2 (B) 2√2 (C)4 (D) 4√2 。
17. 已知等比數列 ,其中a3+a5=6, a4+a6=9,求此等比數列的公比為何? (A)(B) (C)2 (D) √3 。
18. 已知圓 C: x2+y2-4x +k=0 與直線 L :3x -4y=0 相切,則實數 k 為何?(A)(B)(C)-1(D)
19. 等差數列 前 7 項的和為 14,則 a3+a5的值為何? (A)2 (B)4 (C)6 (D)8 。
20. 從一個男女合班中,任意選擇一位學生,每個人被選到的機會皆相等,且選到女生的機率是選到男生機率的倍,則從這個班級任選一位學生,是女生的機率為何? (A)(B)(C) (D)。
21. 關於數據:1,2,3,4,5,6,7,8,9
請問下列哪一個選項敘述正確? (A)算術平均數為 4.5 (B)中位數為 4.5 (C)全距為 9 (D)第 25 百分位數為 3 。
22. 已知坐標平面上有兩向量分別為 ,求為何? (A)11 (B)9 (C) (15, -4) (D) (8,0) 。
23. 設三次函數 f( x)= 3(x-2)3-5x+7 ,則此三次函數的對稱中心為何? (A) (0,7) (B) (2,7) (C) (2, -3) (D) (3, -5) 。
24. 某個抽獎活動在箱內置入 3 顆藍球、5 顆紅球與 12 顆黑球,參加者自箱中抽出一球確定顏色後放回,抽出藍球者得獎金 2000 元、抽出紅球者得獎金 1000 元、抽出黑球者則無獎金。求每次抽出一球的獎金期望值為何? (A)550 (B)800 (C)1500 (D)11000 。
25. 已知坐標平面上三點 A(- 2,2) 、 B(1,3)、C(3, -5) ,求為何?
(A) (0,26) (B) ( -9,23) (C) ( -2,28) (D) ( 2,12) 。
26. 某班第二次段考國文平均 78 分,標準差 10 分;英文平均 54 分,標準差 18 分。已知國文成績和英文成績 的相關係數為 0.63,後來老師因故調整分數,將國文成績每人加 5 分,英文成績每人乘上 ,且調整分數後每個人的分數皆不超過 100 分,請問調整後的國文成績和英文成績的相關係數為何? (A)0.7 (B)0.63 (C)0.54 (D)1 。
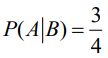
27. 當角度 x 從 弳增加到 弳時,函數 y = sin 2x 所對應的值變化為下列何者? (A)先遞增再遞減 (B)先遞減再遞增 (C)一直遞增 (D)一直遞減 。
28. 有 3 位女性與 4 位男性報名參加一場研討會,而研討會當天發現出席的女性與男性人數相同(女性與男性至 少各 1 人參加,每人的姓名皆不同),則出席人員的名單共有幾種可能? (A) 3 (B) 12 (C) 30 (D) 34 。
29.公園裡有圓弧形步道,已知此圓弧的長度為 10 公尺且圓弧所在的圓其半徑為 5 公尺,則此圓弧所對應的圓 心角最接近下列哪一個選項中的值? (A)1 弳 (B) 120 (C) 135 (D) 3 弳 。
30. 假設 A、B 為樣本空間之兩事件,若 , 且 ,則為何? (A)(B)(C)(D)。
31. 下列哪一個選項中的函數圖形,在坐標平面上經過平移(水平或鉛直移動)之後可與函數 的圖形重合。 (A)(B) (C) (D) 。
32. 年終晚會原訂表演的 5 個節目已排成節目單,開演前再增加 2 個不同的新節目。若原有 5 個節目的相對先 後順序保持不變,則增加 2 個新節目後的節目單可以有多少種不同的安排? (A)13 (B)15 (C)21 (D)42 。
33. 若 a = log4,b = log6,則下列哪一個選項中所表示的值與 log9 相等? (A) a +2b (B) 2b- a (C) 2ab (D)。
34. 設實數 a,b,c 滿足 ,則 a+b+c 的值等於下列哪一個選項? (A)1 (B)2 (C)3 (D)4 。
35. 坐標平面上有一點 A(5,3) 及一直線 L:2x-y=2 ,下列哪一個選項中的點與點 A 在直線 L 的異側? (A) (0, -2) (B)(6,0) (C) ( -1, -1) (D) (3, -4) 。
36. 求滿足不等式 (x- 2)( x2-3x-4) >0 的解為下列哪一個選項? (A) x <-1 或 2 <x<4 (B) -1<x<2 或 x > 4 (C) x < 2 (D) x < -4 或 2 <x<3 。
37. 有甲、乙兩袋,甲袋中有白球 6 個,黑球 4 個;乙袋中有白球 2 個,黑球 3 個。小明以投擲公正骰子來 決定從哪一袋取出一球:若出現點數為 1 , 2,則從甲袋取出一球;出現點數為 3 , 4 , 5 , 6,則從乙袋取出一 球。如果同一袋中的球被取出的機會均等,已知小明抽到白球,則此球來自甲袋的機率為何? (A) (B)(C)(D) 。
38. 有一個球體狀的地球儀,其赤道長為 120 公分,在北緯 60o上有 A 城市與 B 城市,分別位在東經 80 度與東 經 110 度。若在地球儀上,從 A 城市沿著北緯 60 度線向東前進到 B 城市,則路徑長為多少公分? (A)4 公分 (B)5 公分 (C) 5√3 公分 (D)10 公分 。
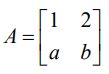
39. 設二階方陣 , 為 A 的反矩陣,若 存在且 與 A 相等,則 a+ b 之值為何? (A) -1 (B) 0 (C) 1 (D) 2 。
40. 空中消防無人機發現:地面正南方俯角 45° 的 A 處有火警發生;而在正東方俯角 30° 的 B 處有消防車。 若無人機的飛行高度為 300 公尺,無人機的正射影點為 O 點,則 A、B 二點距離為何? (A) 300 (B) 300 √3 (C) 300 √6 (D) 600 。