所屬科目:警專◆乙組數學
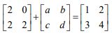
1. 將兩個二階方陣相加,結果如右式:,試求ab+cd?(A)0 (B)1 (C)4 (D)5
3. 下列各數何者最大? (A) (B) (C) (D)
5. 雷達顯示器的坐標平面上,兩目標物之極坐標分別為 A[4,21°] 、 B[5,111°] ,試求兩目標物距離 ? (A) = 4 (B) = (C) = (D) = 7
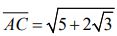
6. ∆ABC 中,已知 =10, = 20,∠= ° B 120 ,試求 ? (A) (B) =10 √5 (C) =10√7 (D) 。
8. 5 筆資料如下表,試問刪去哪一筆資料後,剩下 4 筆資料之相關係數r (X,Y) 最大? (A)(0,10) (B)(1,3) (C)(4,9) (D)(10,21) 。
12. 阿明 忘記手機密碼,他只記得該密碼為由「0、1、2、3、4、5」6 個數字隨意排列的 6 位密碼。請問他嘗 試輸入三組不同密碼後仍然無法解鎖的機率為何? (A) (B) (C)(D) 。
13. 多項式 f (x)= -111x+4.1,求 f (x) ÷( x+1) 之餘式 (A) −107.9 (B) −105.9 (C)114.1 (D) x − 4.1 。
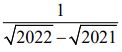
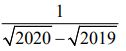
16. = ? (A)1 (B)log37 (C)2log2+log37 (D)log111
17. 已知二階方陣 ,試求 A2 ? (A) (B) (C) (D)
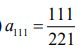
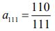
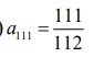
20. 已知數列滿足遞迴式: ,試求 ? (A) (B) (C) (D)(E)一律給分
22. 已知 x ≤1,則 的最小值為何? (A)2 (B)1 (C)0 (D) 。
23. 如圖一,由大拇指開始數數,大拇指為 1、食指為 2、中指為 3、無名指為 4、小指為 5,接著往回繼續數, 無名指為 6、中指為 7、食指為 8、大拇指為 9,再反向,食指為 10、中指為 11、無名指為 12…以此類推, 則數到 111 時為哪隻手指呢?
(A)大拇指 (B)中指 (C)無名指 (D)小指 。
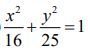
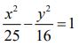
24. 下列方程式何者最可能畫出圖二之方程式圖形?
(A) (B) (C) (D)
33. 已知多項式 f(x)=x(x-111)(x-2022),則下列敘述何者正確? (A)方程式 f (x)=0 恰有三個整數解 (B) y=f(x) 圖形的對稱中心為(111,0) (C) f(110) >f(2021) (D) y=f(x) 在時有最大值 (E) y=f(x) 在 x=0 時有最小值
34. 已知平面上兩向量 ,則下列敘述何者正確? (A) (B) (C) (D) (E)
36. ∆ABC 中,已知 =10,∠= A 22° ,∠= C 90° ,則下列何者正確? (A) (B) = 10 tan 22° (C) = 10sin 22° (D)= tan 22° (E) =cos 22 ° 。
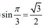
37. 下列哪些敘述是正確的? (A) cos 0= 1 (B) (C) (D) (E)tan π = 。
39. 如圖四, A、B、C、D 分別為指數函數 y=ax、y=bx、y=cx、y=dx的圖形,則下列敘述何者正確?(A)a>1 (B)c<0 (C)a>b (D)a0=1 (E)c0<1
40. 圖五為由 7 個單位方塊組成之立體圖形,試問下列哪些屬於其三視圖(上視圖、前視圖、右視圖)? (A) (B) (C) (D) (E)