阿摩線上測驗
登入
首頁
>
警專◆乙組數學
> 111年 - 111 臺灣警察專科學校_專科警員班第 33 期正期學生組:乙組數學#18934
111年 - 111 臺灣警察專科學校_專科警員班第 33 期正期學生組:乙組數學#18934
科目:
警專◆乙組數學 |
年份:
111年 |
選擇題數:
40 |
申論題數:
0
試卷資訊
所屬科目:
警專◆乙組數學
選擇題 (40)
1. 設a, b均為實數且滿足
,則a + b= (A) 3 (B) 4 (C) 5 (D) 6 。
2.
最接近哪一個正整數?(A)3 (B) 4 (C) 5 (D) 6 。
3. 將 y=2x
2
+4x+1的圖形向左平移 2 個單位,再往上平移 3 個單位,得到函數 y = f( x) 的圖形,則 f ( −2) = (A) 1 (B) 2 (C) 3 (D) 4 。
4. 若a為實數且i = √−1,已知方程式 x
3
+ x
2
+(i-1)x+a+i=0有實數解,則a = (A) −1 (B) 0 (C) 1 (D) 3 。
5. 化簡
之值為 (A) 1/ 8 (B) 2√2 (C) 4 (D) 8 。
6. 設a> 0,且 a+a
-1
=4,則 a
2
+a
-2
= (A) 8 (B) 14 (C) 16 (D) 18 。
7. 已知n為正整數且2
n
為 100 位數,若log 2 =0.3010 ,則n可能之值為 (A) 320 (B) 330 (C) 340 (D) 350 。
8. 已知
,則正整數n之值為 (A) 7 (B) 8 (C) 9 (D) 10 。
9. 袋內有 3 個相同白球、4 個相同黑球、5 個相同紅球(共 12 個球),每次取一球不放回,依序取 4 次,則恰 取 2 次紅球的機率為
10. 已知n個數據 x
1
,x
2
.....x
n
的算術平均數為 25、中位數為 24、全距為 23、標準差為 12。若 y
i
=-2x
i
+5 ,其 中i =1, 2, , n 。設 y
1
,y
2
.....y
n
的算術平均數為a、中位數為b、全距為c、標準差為d,請選出正確的選項。 (A) a = −50 (B) b = −48 (C) c = −41 (D) d = 24 。
11. 已知有兩個等差數列的第n項之比為(2 n − 3 ):(5 n +3 )﹐則此兩數列的前11項和之比為 (A) 2:5 (B) 3:11 (C) 11:38 (D) 19:58 。
12. 化簡
之值為 (A)1330 (B) 2100 (C) 2470 (D) 2485 。
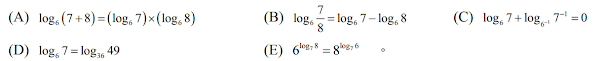
13. 已知
,請選出正確的選項。(A)
(B)
(C)
(D)
(E)本題送分
14. 設多項式f(x)=(2x
2
-1)
4
,則 f (x ) 除以 x −cos15° 的餘式為 (A) 1 /16 (B) 3 /15 (C) √3/ 16 (D) 9 /16
15. 在三角形ABC中,已知
的長度為 (A) 4 (B) 5 (C) 6 (D) 7 。
16. 在邊長為 1 的正三角形 ABC 中,
之值為 (A) −1 / 2 (B) 1 /2
17. 已知兩非零向量
亦垂直,則實數r 之值為 (A) 1 (B) 2 (C) 3 (D) 6 。
18. 已知(a b, )為圓C:(x-1)
2
+(y-1)
2
=4上的點,則
的最大值為 (A) 3 (B) 5 (C) 7 (D) 9 。
19. 已知圓 c:x
2
+y
2
=1與直線 L:3x-4y=k 相切,則實數k = (A) ±1 (B) ±5 (C) ±7 (D) ±10 。
20. 已知空間中三點坐標分別為 A(−1,0,3) ﹐ B(− − 4, 2, 3) ﹐C(1, 6,0 − ) ,則三角形 ABC 的形狀為 (A) 等腰銳角三角形 (B) 等腰鈍角三角形 (C) 等腰直角三角形 (D) 正三角形 。
21. 在空間中,已知
上的正射影長為 (A) 3 (B) 4 (C) 5 (D) 6 。
22. 空間中兩平面 E
1
:x-2y+z=3和 E
2
:x+y-2z=3的夾角為 (A) 30°與150° (B) 45°與135° (C) 60°與120° (D) 90° 。
23. 空間中兩直線
的關係為 (A) 重合 (B) 平行 (C) 恰交於一點 (D) 歪斜 。
24. 若 A、 B 、C 均為二階方陣, I 為二階單位方陣,O為二階零方陣,請選出正確的選項。 (A) (A+I)(A-I)=A
2
-I (B) (A+B)
2
=A
2
+2AB+B
2
(C) 若 AB =AC ,則 B = C(D) 若 AB = O,則 A =O 或 B =O 。
25. 已知abcd ,,, 均為實數,且二階方陣
,則a+b+c+d= (A) −3 (B) 3 (C) 21 (D) 27 。
26. 一箱子中有 9 個燈泡,已知當中只有 1 個是壞的,其餘都是好的。今從此箱子中任取 3 個燈泡測試,則取 出的燈泡中,壞燈泡個數的期望值為 (A) 1 /9 (B) 2 /9 (C) 1/ 3 (D) 2 /3 。
27. 投擲一個公正的硬幣 10 次,若恰好在第 10 次出現第 3 次正面的機率為x/1024 ,則 x = (A) 36 (B) 45 (C) 84 (D) 120 。
28. 投擲兩個公正的硬幣 96 次,隨機變數X表示兩個硬幣都出現正面的次數,則X的標準差為 (A) 3 (B) 2 √3 (C) 3 √2 (D) 2 √6 。
29. 有一個研究想要了解參與某活動的滿意度,在抽樣調查後發現:在 95%的信心水準之下,滿意度的信賴區 間為[0.45, 0.55],則此研究共調查幾個樣本? (A) 100 (B) 400 (C) 1000 (D) 2500 。
30. 某次數學競賽共 1000 人參加,已知該競賽全體成績平均 60 分、標準差 10 分,且成績呈常態分布。若甲 生於該競賽獲得 80 分,則甲生於此次競賽的名次最接近第幾名? (A) 2 (B) 25 (C) 100 (D) 160 。
複選題
31. 設a b , 均為實數,且二次函數f(x)=a(x-1)
2
+b 滿足 f (3 )>0 、 f (4 ) <0,請選出正確的選項。 (A) a <0 (B) b <0 (C) f (0 )> 0(D) f (− 1 )>0 (E) f (− 2 )>0 。
複選題
32. 在坐標平面上,已知 y =f (x ) 的三次多項式函數通過( -1,0),(0,- 2),(2,0),(3, 40) ,則下列哪些選項為多項式 f ( x) 的因式? (A) x +1 (B) x −1 (C) x + 2 (D) x − 2 (E) 3x+ 1。
複選題
33. 請選出正確的選項:
複選題
34. 從 3 位女生與 4 位男生中(共 7 位)選出 5 人,並規定選出的人當中女生至少要 2 位,則選法有幾種?
複選題
35. 設 A B, 為樣本空間 S 中的兩事件,且P(A) =3/4 、 P(B)=3/8 、 P(AUB)=7/8 ,請選出正確的選項。 (A) P(A∩B)=1/4(B) P(B|A)=1/3 (C) P(A|B)=1/3(D) A與 B 為互斥事件 (E) A與 B 為獨立事件。
複選題
36. 已知有十位同學在某次段考的數學科成績(X)與自然科成績(Y)之結果如下表所示﹕
關於這十位同學於此次段考的數學科成績(X)與自然科成績(Y),請選出正確的選項。
複選題
37. 設 <a
n
> 為每一項均為實數的等差數列, S
n
為此數列的前n項之和,已知 S
2014
= 0且 a
103
=103﹐請選出正確的 選項。 (A) a
1
=1 (B) a
1007
= 0 (C) a
2
+a
2013
= 0 (D) a
1912
= −103 (E) a
103
+a
104
+ ++a
1913
> 0 。
複選題
38. 在坐標平面中,已知方程式x
2
+y
2
-4x+2y-k
2
-k+11=0 的圖形為一圓,則實數k 可能的值為 (A) −5 (B) −1 (C) 0 (D) 1 (E) 5 。
複選題
39. 下列哪些增廣矩陣所表示的一次聯立方程式恰有一組解﹖
複選題
40. 投擲一個公正的硬幣 3 次,A表示至少有一次正面的事件,B表示第二次是正面的事件,C表示三次為同一面的事件,請選出正確的選項。 (A)P(A)=7/8 (B)P(C)=1/4 (C)P(A∩B)=1/2 (D)A與B為獨立事件 (E)B與C為獨立事件 。
申論題 (0)
相關試卷
114年 - 114 臺灣警察專科學校_專科警員班第 44 期正期學生組新生入學考試試題:數學科(乙組)#129086
114年 · #129086
113年 - 113 臺灣警察專科學校_專科警員班第 43 期正期學生組新生入學考試:乙組數學科#124570
113年 · #124570
112年 - 112 臺灣警察專科學校_專科警員班第42期正期學生組新生入學考試:數學科(乙組)#116875
112年 · #116875
111年 - 111 臺灣警察專科學校專科警員班第 41 期正期學生組新生入學考試:數學科(乙組)#110139
111年 · #110139
110年 - 110 臺灣警察專科學校_專科警員班第 40 期正期學生組:乙組數學#114969
110年 · #114969
109年 - 109 臺灣警察專科學校_專科警員班第 39 期正期學生組:乙組數學#85675
109年 · #85675
108年 - 108 臺灣警察專科學校_專科警員班第 38 期正期學生組:乙組數學#79161
108年 · #79161
107年 - 107 臺灣警察專科學校專科警員班37期正期學生組新生入學考試試題:乙組數學科#98834
107年 · #98834
106年 - 106 臺灣警察專科學校警員班36期新生入學考試:乙組數學科#98988
106年 · #98988
105年 - 105 臺灣警察專科學校_專科警員班第 35 期正期學生組:乙組數學#51669
105年 · #51669