所屬科目:警專◆乙組數學
1.滿足2≤| x-1 |≤5的整數x共有幾個? (A) 8 (B) 6 (C) 4 (D) 3
3. 坐標平面上A(1,3)、B(5,11),若P點在線段上,且=1:3則下列哪一個選項為P點標? (A)(3,7) (B)(2,4) (C)(2,5) (D)
5. 之值與下列哪一個選項相等? (A) (B) (C) (D)7
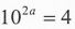
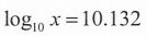
6.若,則x的整數部分有幾位數字? (A)2 (B)3(C)10 (D)11
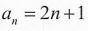
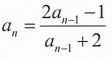
7.若數列中,a1=1且 ,其中n為任意的正整數,則a3之值為何? (A) 1 (B) (C) (D)
8.設數列為等比數列,若a3=3,a6=15,則a9之值為何? (A)5 (B)75 (C)45 (D)18
9.甲、乙、丙三人猜拳(剪刀、石頭、布),請問甲單獨得勝的機率為多少? (A) (B) (C) (D)
11.設f(x)與g(x)都是實款多項式,,已知f(2-i)=1-4i,g(3-3i)=1-i,則f(2+i)xg(3+3i)=? (A)-3+5i (B)3-5i (C)5 (D)9-3i
13.(-sin120°)xcos(-30°)+tan45°xsin30°之值為下列哪一個選項? (A) (B) (C) (D)
16.線段,2 ≤ t ≤ 5,則此線段長度為下列哪一個選項? (A)3 (B)6 (C)2(D)8
17.箱子中有大小材質均相同的球20顆,其中红色球有4顆,白色球有16顆。現有20個人依序從箱中各取 一球,取後均不放回,若每颗球被取出的機率均相等,請問:第5個人的是紅球的機率為何? (A) (B) (C) (D)
18.設集合A=,則A的不同子集合共有多少個? (A) 5 (B) 6 (C) 31 (D) 32
19.若,則之值為何? (A)(B)5 (C) (D)7
20.已知向量垂直,則實數t之值為何? (A)2 (B)0 (C)-2(D)-1
22.知a為實數,若,則之值為下列哪一個選項? (A) 2 (B) (C) -2 (D)
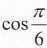
23.帶之值為下列哪一個遇項? (A) (B) (C) (D)0
27.已知x、y均為整數,設A事件為x出現偶數的事件,B事件為y出現偶數的事件。若A、B兩事件獨立, 且其發生的機率分别為,則x+y為偶數的機率為下列哪一個選項? (A) (B) (C) (D)
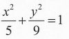
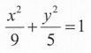
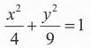
29.已知一橢圓的焦點坐標為(0,2)及(0,-2),長軸長為6,則此橢圓方程式為下列哪一個選項? (A) (B)(C) (D)
30.請問下列哪一個選項中的矩陣乘積等於? (A) (B)(C) (D)
31.試判斷下列哪些項中的有理數可以化成有限小數? (A) (B)(C) (D)(E)
32.下列哪些選項是正確的? (A) log23+log25=log2(3+5) (B)(C) (D) log325=2log35
33.設n為正整數,已知數列〈為等差數列,且其前n項和,試問下列哪些選項是正確? (A)a1=-1 (B)a2=1 (C)的公差為2(D) (E)a3=S3
34.已知ABCDE為正五邊形,請問下列哪些選項中的值為正數? (A) (B)(C) (D)(E)
36.下列哪一些無窮數列的極限存在? (A) (B)(C) (D)(E)
38.對△ABC而言,下列選项哪些是正確的? (A)若sinA= ,則∠A=60°(B)若cosA<0,則△ABC必為銳角三角形 (C)若sin(B+C)=1,則△ABC 為直角三角形(D)sinA-sinB > sinC恆成立 (E) sinA-sinB<sinC恆成立
39.下列哪些選项是正確的? (A) cos2x+sin2x=1 (B) tanx= (C) cos2x=sin2x-cos2x (D) sin2x=2sinx cosx(E) cos(x+y)=cos x cosy + sinxsiny