所屬科目:警專◆乙組數學
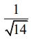
1. 化簡= ?(A) (B) (C) (D)。
2. 試問有多少個正整數 n 滿足 100 ≤ (1.5)ⁿ ≤ 500 ? (已知 log2 ≈ 0.3010 , log3 ≈ 0.4771)(A) 4 個 (B) 5 個 (C) 6 個 (D) 7 個。
3. 已知 (2 , log2) , (3 , log 3) , (6 , loga) 三點共線,試求 a 之值為何?(A) (B) (C) 8 (D)
4. △ABC 中, = 5 , 在上取 D 點使得 = 6 , 求 = ?(A)(B)(C) (D)。
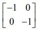
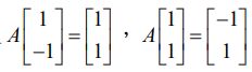
5. 設 I₂ 是單位方陣,且 A =是 2 階方陣,則滿足 A² = I₂ 之方陣 A的個數為何?(A) 1 個 (B) 2 個 (C) 4 個 (D) 6 個。
6. 已知平面 E 的三軸截距和為 14 , 且平行於平面 F : 2x + y - 3z = 15 , 試求平面 E 和 F 的距離為何?(A) (B)(C)(D)(E)一律給分
7. 從 1,2,3,4,5,6,7,8,9 這九個數中任意取出三個相異的數,則三數乘積是一完全平方數的取法有幾種?(A) 3 (B) 4 (C) 5 (D) 6 。
8. 已知二階方陣 A =滿足 AB =, 則 a + b + c + d = ?(A) 0 (B) 1 (C) 2 (D) -2 。
9. 在坐標平面上,已知三角形 ABC 的面積為 4 平方單位,若,其中 r , s 為實數,且-2 < r ≤ 1 , -1 ≤ s ≤ 1 , 則所有 P 點所形成的區域面積為多少平方單位?(A) 16 (B) 24 (C) 32 (D) 48 。
10. 由 1,2,3,4,...,15 等十五個自然數中,任取相異三個數,則其和為偶數的取法有幾種?(A) 35 (B) 154 (C) 196 (D) 231 。
11. 若 a 是一個實數,對任意實數 x , ax² + (a + 1)x + 2a - 1 之值恆正,則 a 可能是下列何數?(A) -1 (B) 0 (C) 1 (D) 2 。
12. 一袋中有大小相同的白球2個,紅球4個,黃球3個,今自袋中每次取一球,取後不放回,共取三球,求三球皆異色之機率為何?(A)(B)(C)(D)
13. 將一正方形紙 ABCD 沿對角線摺起,使得∠ABC =θ,若平面 ABD 與平面 CBD 之夾角為60°,求cosθ之值為何?(A)(B)(C)(D)
14. 一種檢驗某傳染病的儀器,依過去的篩選經驗得知:患此病的人,有 90% 的機率經此儀器檢驗會呈現陽性反應;不患此病的人,也有 5% 的機率會被誤檢而呈現陽性反應。假設某地區有 6% 的人罹患此病, 從此地區中任選一人接受檢驗;若檢驗結果呈陽性反應,求此人確實罹患該病的條件機率為何?(A)(B)(C) (D)
15. 設通過圓 C:(x + 2)2 + (y - 1)2 = 10上一點(1, 0)所作的切線為 L,則 L 與兩坐標軸所圍成的三角形面積為何?(A)(B) (C)(D)
16. 設 x、y、z均為實數,且x2 + y2 + 4z2 = 6,求2x - y + 2z - 3之最大值為何?(A) 3 (B) 6 (C) 9 (D) 12(E)一律給分。
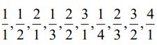
17. 若數列, ...依此規則排序,則是第幾項?(A) 177 (B) 178 (C) 179 (D) 180。
18. 下列哪一個三角函數值最大?(A)sin(B)cos(C)sin 1 (D)sin 2。
19. 將化簡後是幾位正整數?(log 2≈0.3010)(A) 11 (B) 12 (C) 13 (D) 14。
20. 已知x - 2y + 2z - 5 = 0,則的最小值為何?(A) 6 (B) 8 (C) 10 (D) 12(E)一律給分。
21. 二等差數列<an>,<bn>其前n項和分別為Sn,Tn,若 Sn : Tn = (7n + 3) : (2n + 5),則=?(A)(B)(C)(D)
22. 已知 A(0, 4),B(4, 0),若 P 為圓x2 + y2 = 4上任一點,求的最大值為何?(A) 20 (B) 24 (C) 28 (D) 32。
23. 假設細菌 A 的數量每小時可以成長為兩倍,細菌 B 的數量每小時可以成長為四倍;若取等數量的 A、B兩種細菌,則經過幾小時後細菌 B 數量是細菌 A 數量的 512 倍?(A) 7(B) 8(C) 9(D) 10。
24. 假設某地方偵測出腸病毒經過 t 日後,被感染的人數為函數 f(t) = -t² + 12t + 48,t ≧ 0,若依此函數估計,請問經過幾日後感染腸病毒人數將會最多呢?(A) 2 (B) 3 (C) 4 (D) 5(E)一律給分。
25. 將一個直圓柱形的蛋糕捲,以一刀將其平分成同等大小的兩塊,則其截面不可能會是下列哪個圖形或其一部分?(A) 圓(B) 長方形(C) 雙曲線(D) 橢圓。
26. 如右圖,已知四面體 ABCD 的稜邊垂直於平面 ABD,= 4。設 P、Q 分別為的中點,則 = ?
(A)(B) 3(C) (D)。
27. 甲、乙、丙三人同射一靶,每人一發,設甲、乙、丙的命中率各為 0.6、0.7、0.5,在互不影響的情況下,試問:該靶恰中二發的機率為何?(A) 0.39(B) 0.42(C) 0.44(D) 0.47。
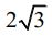
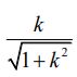
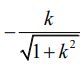
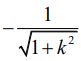
28. 設 x = ,求 x³ - y³ = ?(A) 16(B) 16(C) 32(D) 32。
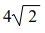
29. 設 tan140° = k,試以 k 表 sin230° 之值?(A)(B)(C)(D)
30. 設地球半徑為 6370 公里,試求北緯 30° 緯線所形成圓的直徑長度約為多少公里?(A) 3185(B) 6370(C) 3185(D) 6370。
31. 極坐標平面上,設 O 為極點,若兩點 A [ 2 , 130° ],B [ 4 , 220° ],且 C 為中點,求的長度為何?(A) (B) 2(C)(D)。
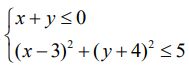
32. 已知三次函數 f(x) 的對稱中心為 (2 , 0),且 f(0) = 0、f(-3) > 0,試問下列六個函數值:f(-2),f(1),f(3),f(4),f(5),f(6) 有多少個是正數?(A) 2(B) 3(C) 4(D) 5。
33. 已知坐標平面上 x , y 坐標皆為整數值的點稱作格子點,試問不等式組所表示的圖形區域中有多少個格子點?(A) 15(B) 16(C) 17(D) 18。
34. 有一條繩子長 20 公尺,沿著筆直的河邊圍成一長方形,河邊不必用繩子圍,則這條繩子所圍成的長方形中,最大面積為多少平方公尺?(A) 16 (B) 25 (C) 36 (D) 50。
35. 已知一個稜長為 2 的正四面體 ABCD 可以放進一個正方體裡,如右圖。今建立空間坐標系,使得正立方體的一個頂點 O 為原點,且 A,C,B 三點分別在 x 軸,y 軸與 z 軸的正向上。 求正四面體 ABCD 的兩歪斜線的距離。(A) 1 (B) 2 (C)(D)(E)一律給分。
36. 設某班 10 位同學的國文成績 x 與英文成績 y,其平均數 µx=65,µy = 70,標準差 σx = 10, σy=5,相關係數 r=0.8,若班上小祥的國文成績 70 分,請利用 y 對 x 的最適直線方程式預測小祥的英文成績為何?(A) 68 (B) 70 (C) 72 (D) 75。
37. 已知 A 是二階方陣,且滿足 ,則 A³ = ?(A)(B)(C)(D)
38. 有一個長方體 ABCD-EFGH,其中=3。有一隻螞蟻沿著長方體的表面(每一面都可以),由 A 點走到 G 點,求最短路徑為何?(A)(B)(C)(D)7。
39. 如右圖,L 為坐標平面上通過原點 O 的直線,「是以 O 為圓心的圓,且直線 L 與圓 「有一個交點 A(3,4)。已知 B, C 為「上的相異兩點滿足=0 且∆ABC 為正三角形。求∆ABC 的面積為何?(A)(B) (C)(D)。
40. 從某班抽樣 10 位學生,其國文成績 X 與英文成績 Y 如下:試求國文成績 X 與英文成績 Y 的相關係數為何?(A)0.7 (B) 0.75 (C) 0.8 (D) 0.85