所屬科目:電磁學
⑴若真空中有一帶有均勻線電荷密度ρl 之無窮長導線,求解此導線所建 立之電場。(10 分)
二、如圖二所示, 、 及為磁通量密度,若各層物質之相對介磁係數 (relative permeability)為定值且各層間之平行介面上無表面電流存在, 說明θ4與θ1之關係式與μ2無關。(15 分)
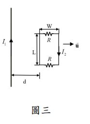
三、如圖三所示,一無窮長之直導線上有靜電流I1= I 0A,直導線旁有一長 方形導線環,若長方形導線環上串接兩個電阻值皆為R之電阻且導線環 以等速度遠離直導線,忽略導線本身電阻,計算長方形導線環上 之電流I2。(20 分)
五、一長 5 公尺之無損耗之傳輸線(Z0 = 50 Ω),分隔傳輸線金屬之介電質 為空氣( ε r =1)。當操作頻率為 150 MHz 時,若線之一端接上 之負載,計算從另一端看入之輸入阻抗。(15 分)