所屬科目:教甄◆數學專業
1. 有一個四邊形 ABCD ,延伸 ,,, ,使得 = ,= , = , = ,如下圖所示: 試求四邊形 ABCD 與四邊形 EFGH 面積的比值。
2. 由 1、2、3、…、20 挑出x1 ,x2 , x3 三個數,且。若, ,則挑出三數的方法數為何?
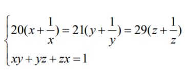
3. 已知三正數 x , y , z 滿足,求數組 ( x ,y ,z ) 。
4. The first terms of an arithmetic sequence are, ,, … . Find x if the sum of the 20 terms of the sequence is equal to 100 .
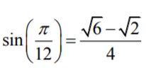
5. Consider the equation , . Given that and . Find the solution to the equation for .
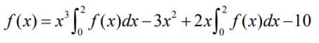
7. 已知 ,若 f( x ) 可以整理成 ,試求 a,h,p,k 之值。
8. 試求 x2000 -1 除以的餘式。
(b) Determine (i)i the mean of X ; [2 分]
The plane Π2 , passes through O and is normal to the line BD.(c) Find the Cartesian equation of Π2 . [2 分]
Π2 cuts AD and BD at the points P and Q respectively.(d) Show that P is the midpoint of AD. [2 分]