所屬科目:教甄◆數學專業
1.設雙曲線與橢圓有相同焦點 F1、F2 ,若 P 為與的 一交點 , 且 ∠F1PF2=60o,則雙曲線的共 軛軸長為 。
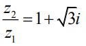
2.在複數平面上, O 為原點,點 A(z1),B(z2),已知| z1-3+4i |=1且 ,則 △OAB 面積之最大值為 。
3.某汽車銷售公司對業務員的銷售獎金分配規定如下:業務員在一季(三個月)裡恰有一個月達成目標,可得獎金 2 萬元;如果有兩個月達成目標,可得獎金 5 萬元;如果三個月都達成目標,可得獎金 10 萬元;如果三個月都未達成目標,則沒有獎金;假設每位業務員每月達成目標的機率 0.2,每個月是否達成目標是互相獨立的事件,且業務員之間彼此互不影響。試求已知該公司有 n 名員工,且在一季裡,該公司至少有一人可以拿到獎金的機率超過 0.999,則 n 至少為 。(已知)
7.設, f (x+2)[1-f(x)]=1+f(x)且,則 f (1021)+ f (2025)= 。
9.設f(x)、 g(x) 皆為實係數多項式,當0≦x≦1,恆有f(x)≧g(x),設0≦k≦1,下圖斜線區域 Rk 為 y=f (x)、y= g(x) 圖形與直線 x=0、x=k 所圍成的封閉圖形。已知 Rk 的面積為,將 Rk 燒 x 軸旋轉所 得旋轉體體積為,則多項式 g(x) = 。
10.下圖中 ABCD–EFGH 是一個長方體,已知。 P 為的中點,Q 在上,且 ,R 為上一點, 若與相交於一點 S,設 ∠PSE=θ,則 cosθ= 。
11.一拋物線y2=4x與一直線交於 A、B 兩點,已知拋物線與直線所圍出來的面積為 ,則 A、 B 的中點軌跡方程式為 。
12.設f(x)=x3-kx2+4k,若f(x)=0恰有兩相異負根與一正根,則實數 k 的範圍為 。
13.從 1 ~ 15 中選出三個數字為 x, y, z ,滿足 x≦y≦z,則 y-x>2且 z-y>3 的機率為 。
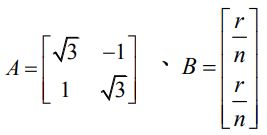
14.從 n 個不同物中任取 r 個排成一列,若含兩個特定物之排列數與不含此兩個特定物之排 列數相等,且矩陣,則 A30B= 。
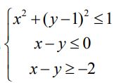
15.座標平面上,滿足聯立不等式的可行解區域為 S,則區域 S 繞 x 軸旋轉一 圈所得立體之體積為 。
16.空間中, O(0,0,0)、 A(3,1, -2)、 B(-1,1,4)、C(2,3,1) ,若, x≧0,y≧0,z≧0,且 3≦x+y+z≦6,則所有 P 點所成的圖形區域體積為 。
1., 不等式恆成立,求 a 的範圍?
2. 如下圖,一直圓柱體底面為半徑 6 公尺的圓,平面 E通過直圓柱底面圓的直徑,且平面 E 與直圓柱的底面夾角為 30o ,平面E將此直圓柱體切割成兩塊,求較小塊的體積為多少立方公尺?
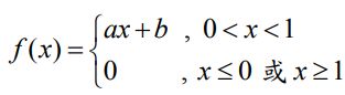
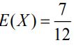
3. 已知連續隨機變數 X 的機率密度函數 ,且 X 的期望值 ,則 X 的變異數 V(X) 為何?