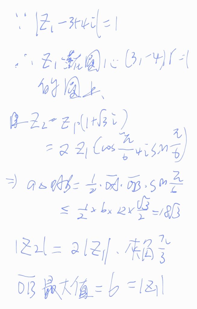
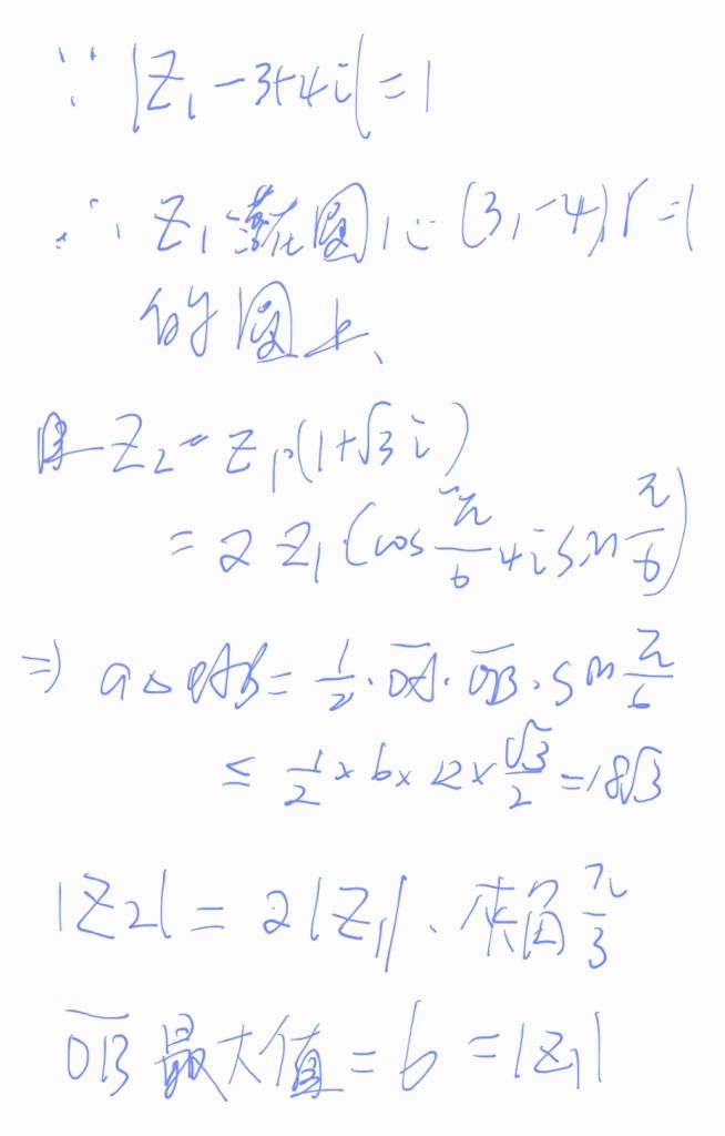
2.在複數平面上, O 為原點,點 A(z1),B(z2),已知| z1-3+4i |=1且
,則 △OAB 面積之最大值為 。
詳解 (共 2 筆)
Leo Li
詳解 #4196558
如上
Leo Li
詳解 #4196579
下圖

