所屬科目:技檢◆測量-工程測量-甲級
12.如下圖所示測得四邊形之 8 個角,圖形平差中之獨立條件數是(A)6(B)8(C)4(D)2。
14.水平角方向組法觀測記錄如下表,則 PB 方向正倒鏡平均值為(A)15°43'56"(B)15°43'58"(C)195°43'58 "(D)195°43'56"。
15.1 平太陽日等於多少恆星日?(A) (B) (C) (D) 。
29.如下圖示,量得 B 站偏角 40°左,C 站偏角 50°右,若 AB 方位角為 30°,則 DC 方位角為(A)220° (B)60°(C)40°(D)240°。
31.某一路寬 6m 之橫斷面記載為,按三次水平截面計算,其橫斷面積為(A)31 平方 公尺(B)30 平方公尺(C)27 平方公尺(D)22 平方公尺。
36.依「都市計畫樁測定及管理辦法」,幹導線測量方位角閉合差不得超過 ,N 表導線點數,C 值為(A)20"(B)2'(C)60"(D)10"。
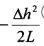
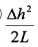
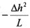
54.以△h 表相鄰兩樁頂之高程差,L 表相鄰兩樁頂之斜距,則基線測量中之傾斜改正公式為(A) (B) (C) (D) 。
56.用正像望遠鏡觀測太陽定方位角,在上午採用任意時刻法觀測太陽時,太陽位置應置於望遠鏡中之(A)各象限皆可(B) (C) (D) 。(圖中●表太陽)
62.如下圖所示,一附和導線 AB123CD,其中 A、B、C、D 點坐標為已知,下列敘述哪些正確?(A) 可先進行折角閉合差改正,之後再進行縱距及橫距閉合差改正(B)通常點 3 坐標誤差最大(C)必須觀測4段水平距(D)必須觀測 4 個水平角。
65.各等級之容許誤差界限如下,±3mm (一等),±7mm (二等),±10mm (三等),±20mm (四 等)。BM100→BM101:0.7km;BM101→BM102:1.5km;BM102→BM103:0.7km;BM103→B M100:1.8km;若後視讀數總和為 25.658m,前視讀數總和為 25.673,下列哪些正確?(A)閉合差 為-0.015m(B)合乎二等水準測量(C)為消除地球曲度及大氣折光差可採對向水準測量(D)合乎一等水準測量。
67.如下圖所示,在一導線中,已知 A 及 B 點坐標 Ea=1200m,Na=1500m,Eb=1300m,Nb=1700 m,觀測∠BAP=20°30'40";在另一導線中,已知 C 及 D 點坐標 Ec=2200m,Nc=2500m,Ed=210 0m,Nd=2700m,觀測∠DCQ=30°40'50",則下列方位角哪些正確?(A)=36°33'54"(B)=333 °26'06"(C)=47°04'34"(D)=4°06'56"。
68.如下圖所示,在 A、B 二已知點上實施角度前方交會測定 P點時,則下列敘述哪些正確?(A)P點將會在 E 軸方向具有較大的定位誤差(B)P點將會在 N 軸方向具有較大的定位誤差(C)若增加角度觀測量∠BPA 有助於改善其誤差情形(D)若增加距離觀測量或有助於改善其誤差情形。
75.二導線點及其坐標值為:A(N=500.00m , E=500.00m)、B(N=1000.00m , E=500.00m),另於 A 點 對未知點 C 觀測得:∠BAC=65°00'00"、 =400.00m,則下列敘述哪些正確?(A) 方位角為 24 5°00'00"(B)∠CBA=47°36'28"(C)C 點之坐標值為(N=669.05m , E=862.52m)(D) =490.86m。
77.若某水準測量施測精度規範如下:系統誤差改正前每測段往返最大閉合差為 ,系統誤差 改正後水準環線最大閉合差 ,其中 K 為單一測段長度之公里數,F 為水準環線長度之公 里數,下列各測段往測及返測均各測一次,則何者符合要求?(A)如下圖,由水準點 P 測到水準點 Q 之測段,該測段長度為 2km,系統誤差改正前閉合差為-2mm(B)某水準環線由水準點 C 經一水 準路線測到水準點 D,再由 D 點經另一水準路線測回 C 點,兩條水準路線長度均為 8km,系統 誤差改正後閉合差為+9mm(C)某測段由水準點 A 測到水準點 B,所有前視及後視距離均為 50m, 往測及返測各設站 20 次,系統誤差改正前閉合差為+3mm(D)某水準環線如下圖,共有 4 個測段, 由 P 點經 Q 點、R 點、S 點,再閉合至 P 點,各測段水準路線長度均為 2km,系統誤差改正後閉 合差為-8mm。
78.如下圖,已知 Ea=100.000m、Na=300.000m、Eb=170.000m、Nb=330.000m,觀測∠BAP=51°00'0 0"、∠PBA=52°00'00",下列敘述哪些正確?(A)=66°26'56"(B)=117°48'06"(C)Ep=154.842m (D) =61.592m。