所屬科目:教甄◆數學專業
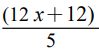
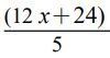
4 爸爸在市場買了一箱小番茄,弟弟吃掉了箱,哥哥比弟弟多吃了 2 顆,媽媽再吃掉了 x 顆後,爸爸發現箱子 內的小番茄還剩下原來的 ,則箱子內原有多少顆小番茄?(以 x 表示) (A) (12 x+12) 顆 (B) (12 x+24) 顆 (C)顆 (D)顆
6 小馨、小怡兩人打算搭乘同一班次電聯車去台南。若此班次電聯車共有 5 節車廂,且小馨從任意一節車廂上車的機會 相等,小怡從任意一節車廂上車的機會相等,則兩人從同一節車廂上車的機率為何? (A) (B) (C) (D)
7 下圖為電話打了沒披薩屋的公告。假設一個夏威夷披薩調漲前的售價為 x 元, 請問會員購買一個夏威夷披薩的花費,公告前後相差多少元? (A) 0.05x (B) 0.09x (C) 0.14x (D) 0.15x
9 校園內有一矩形步道,其地面使用相同的灰色正方形地磚與相同的白色等腰直角三角形地磚排列而成。下圖表示此步道 的地磚排列方式,其中正方形地磚為連續排列且總共有 40 個。求步道上總共使用多少個三角形地磚? (A) 84 (B) 86 (C) 160 (D) 162
10 圖(A.)的直角柱由 2 個正三角形底面和 3 個矩形側面組成,其中 正三角形面積為 a,矩形面積為 b。若將 4 個圖(A.)的直角柱緊 密堆疊成圖(B.)的直角柱,則圖(B.)中直角柱的表面積為何? (A) 8a + 6b (B) 8a + 12b (C) 4a + 2b (D) 4a + 4b
11 如圖, I 點為 △ABC 的內心, D 點在上,且 。若∠B = 44°, ∠C = 56°,則 ∠AID 的度數為何? (A) 174 (B) 176 (C) 178 (D) 180
14 如圖,八個全等的正六邊形緊密排列在同一平面上。 根據圖中標示的各點位置,判斷△ACD 與下列哪個三角形全等? (A) △ACF (B) △ADE (C) △ABC (D) △BCF
15 已知有若干片相同的拼圖,其形狀如圖(1)所示,且拼圖依同 方向排列時可緊密拼成一列,此時底部可與直線貼齊。 當 4 片拼圖緊密拼成一列時長度為 23 公分,如圖(2)所示。 當 10 片拼圖緊密拼成一列時長度為 56 公分,如圖(3)所示。 求圖(1)中的拼圖長度為多少公分? (A) 5.5 (B) 5.6 (C) 5.75 (D) 6.5