所屬科目:教甄◆數學
2. 王老師想要佈一個問題以達成「能在具體量中,利用約分的方式,找出一個分 數的等值分數」的活動目標,下面哪一個布題最不合適? (A)一盒巧克力有 24 顆,妹妹吃了 盒,弟弟吃了和妹妹一樣多,請問弟弟 吃了幾盒? (B)一盒巧克力有 24 顆,妹妹吃了 盒,弟弟吃了和妹妹一樣多,請問弟弟 吃了幾盒? (C)一盒巧克力有 24 顆,妹妹吃了盒,弟弟吃了和妹妹一樣多,請問弟弟 吃了幾盒? (D)一盒巧克力有 24 顆,妹妹吃了 盒,弟弟吃了和妹妹一樣多,請問弟弟 吃了幾盒?
4. 在「有一塊長方形的花園,中間有一條等寬的小路(圖中白色區域),求可種花區域的面積。」的題目中,學生提出三種作法,不正確的有幾個?(1) 將小路的下半段左右翻轉,會跟上半段接成一個平行四邊形,可種花區域的面積就是長方形面積減掉這個平行四邊形的面積。 (2) 將右邊的可種花區域向左移動,跟左邊的可種花區域拼成一個長方形,就可以算出面積。 (3) 從小路的轉彎處將圖分成上下兩個長方形,他們的可種花區域面積都是長方形減掉一個平行四邊形,再將上下兩個可種花區域面積加起來。(A) 0 (B) 1(C) 2 (D) 3
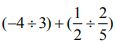
13. 算式與下列哪一個算式的值相等?(A) (B) (C) (D)
14. 坐標平面上,二次函數 y = f ( x) = ax2 + bx + c 的圖形與 x 軸交於(2,0)、(-1,0)兩 點,如下圖所示。下列哪一個選項是正確的? (A) a > 0 (B) c < 0 (C) f (-1) < 0 (D) f (1) > 0
17. 如下圖,數線上 A 、 B 、 C 、 D 四點中,有一點所表示的數為 ,則此點應為下列哪一點? (A) A (B) B (C) C (D) D
18. 炎炎夏日是飲料暢銷的時期,三家商店的促銷標語如下圖所示。已知三家商店 中某綠茶的定價相同,精打細算的小李欲購買此種綠茶 4 瓶,請問他應該到哪 一家商店購買才會最省錢? (A) PK 商店 (B) HighLive 商店 (C) 小九商店 (D) 一樣省錢
19. 如下圖,在同一直線道路上,甲車自 A 地以每小時 35 公里的速度等速度前進, 乙車自 B 地以每小時 40 公里的速度朝同方向等速度前進。已知 A 、 B 兩地相距 30 公里,則下列哪一個圖形可以表示甲、乙兩車之間的距離與所經時間的線型關係? (A) (B) (C) (D)
21. 如下圖,將一段繩子依照 3:5:x 剪成三小段,依序圍成一個正方形、一個正 五邊形和一個正六邊形,若正方形邊長:正五邊形邊長:正六邊形邊長=3:y:4, 則 x + y=? (A) (B) (C) 9 (D) 10
22. 如圖為五個點 A、B、C、D、E。在 L:y-x=1 的直線方程式上。今有一點 P(x,y) 亦在直線 L 上且距離 B 點單位,距離 D 點單位,則下列何者表示正確? (A)-2.5< x <1.5 (B)-1.5< x < -0.5 (C) -0.5< x <0.5 (D) 0.5< x <1.5
24. 平行四邊形ABCD中,,面積是 132cm2,則對角線 度為多少公分? (A) 10 (B) 20 (C) 30 (D) 40
26. 直角坐標平面上,直線 L : 3x + 4 y = 12 的圖形如下圖所示。請就圖中 A、B 兩點 的位置判斷,下列敘述何者一定正確? (A) a - 1 < 0 (B) b - 1 < 0 (C) a - 1 > 0 (D) b - 1 > 0
28. 老師規定班上同學每人都要參加一項社團活動,統計人數後發現全班同學的 參加運動類社團,剩餘的同學裡,其中的參加學術類社團,其中的參加服 務類社團,最後剩下的同學都選擇了休閒類社團。請問班上參加運動類社團的 人數是參加休閒類社團人數的幾倍? (A) (B) (C) (D)4
29. 坐標平面上有一直線 L 與 5 個大小相同的正方形,其中正方形的邊長為 1 單位 長,將這 5 個正方形等距排列且其中一邊皆在 x 軸上,如下圖所示。已知此直 線 L 通過(0,0)、(10,1)兩點,且與最中間的正方形兩邊交於 A、B 兩點,則 圖中灰色部分面積為何? (A) (B) (C) (D)
31. △ABC 的三邊長為 5、12、13,請問△ABC 之外接圓半徑:內切圓半徑的比值為何? (A) (B) (C) (D)
32. 如下圖,正方體邊長 6 公分,在邊上取兩點 J 、 K ,且 , 沿垂直切掉一個三角柱後,剩下的柱體表面積是多少? (A) 192 cm2 (B) 200 cm2 (C) 204 cm2 (D) 216 cm2
33. 有一密閉的長方體容器,內裝有若干水量。已知長方體的長、寬、高為 12、10、 8。若分別以三種不同的底面將此容器任意直立擺放時,其水面的高度分別為 a 、 b 、 c ,且都恰好為整數,如下圖所示。則 a + b + c 的最小值是多少? (A) 12 (B) 15 (C) 18 (D) 24
34. 如下圖,在 △ABC 中, , D 點是上異於 B 、 C 的一點。以為一 邊,在的右側作 △ADE,使得,∠DAE = ∠BAC。若 ∠BAC = 100° , 則 ∠BCE 的度數為何? (A) 70 (B) 75 (C) 80 (D) 85
36. 如下圖,坐標平面上, △ABC 與 △DEF 全等,其中 A 、 B 、 C 的對應頂點分別 為 D 、 E 、 F ,且 。已知 A 點到 x 軸的距離為 6, B 、 C 兩點到 x 軸的距離皆為 2。若 F 點與 x 軸的距離為 3, 與 x 軸垂直,則 D 點到 x 軸的距離為何? (A) 5 (B) 6 (C) 7 (D) 8
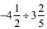
37. 計算=? (A) (B) (C) (D)
40. 若x與y成反比,w與y成正比,z與w成反比。則下列何者正確? (A)成正比 (B) x與z成反比 (C) y與z成正比 (D)成反比