所屬科目:教甄◆數學
3. 老師於課堂中提供一份統計表(如下表)供學生繪製成長條圖,他觀察到學生的作圖(如下圖)需要修正,因此想透過提問讓學生察覺並修改。請問,下列哪些提問能引導學生發現問題並產生修正長條圖的需求?
● 提問一:長條圖中的一格代表多少人?● 提問二:看圖說說看,喜歡蘋果的有多少人?● 提問三:班上最少人喜歡的水果是哪一種?● 提問四:班上同學喜歡吃的水果有哪些?(A)提問一、提問二 (B)提問三、提問四(C)提問一、提問四 (D)提問二、提問三
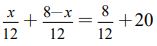
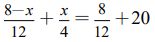
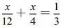
4. 「一瓶水有公升, 瓶水有多少公升?」,我們可以利用「」 算出答案。下列是甲、乙、丙、丁四人關於「 」的說法。甲說:分母乘以分母表示 1 瓶水被平分成 8×4 份。 乙說:分母乘以分母表示 1 公升的水被平分成 8×4 份。丙說:分子乘以分子表示有 5×3 個瓶的水。
丁說:分子乘以分子表示有 5×3 個公升的水。
請問哪些人的說法正確?(A)甲、丙 (B)乙、丁(C)乙、丙 (D)甲、丁
7. 請問下列哪種語意情境可以當作分數除法「=( )」的數學布題?
甲:等分除問題 乙:包含除問題
丙:兩量相比問題 丁:面積問題(A)甲、乙 (B)甲、乙、丁(C)乙、丙、丁 (D)甲、乙、丙、丁
8. 下列有四組關於分數的大小比較問題,何者最需要使用通分策略來比較大 小?(A) (B) (C) (D)
16.幼稚園的小朋友,如右圖圍坐一圈,繞著老師數數, 甲說: 「2」,乙說: 「4」,丙說: 「6」 ,按順時針方向 前進,周而復始,請問按這個規律,誰會 數到「48」這個數?
(A)甲 (B)丙 (C)乙 (D)丁
17.如下圖,有一圓形轉盤分割成 4 個扇形,標上數字為 1、2、23、57,已知數字為 1 的扇形圓心角為 90°, 數字為 2 的扇形面積是數字為 57 的扇形面積的一 1 半,且數字為 23 的扇形面積為圓形面積的 ,若飛 12 鏢高手黃淑英丟擲飛鏢於圓形轉盤上,則該數字為質數的機率為何? (A) (B) (C) (D)1
18. 求小於 39 的正整數 n 中,使 為最簡分數的 n 共有幾個? (A)23 (B)24 (C)25 (D)37
19. 已知班上男生有 a 人,若班上的女生人數是全班人數的 倍,則全班共有 7 多少人? (A) (B) (C) (D)
22.約翰預定以每小時 12 公里的速率騎車到離家 8 公里遠的爺爺家拜年,不料 油箱沒油,只好以每小時 4 公里的速率繼續走路前進,結果比預定時間慢 了 20 分鐘到達,請問下列哪一個方程式中的 x 代表約翰走路的距離? (A) (B) (C) (D)
25. 從 ,5 張數字卡中抽出 4 張排列成四位數,已知 此四位數能同時被 2、3、5 三個數整除,其中最大的四位數為a ,最小的四 位數為b,則a − b之值為何? (A)1800 (B)2220 (C)4380 (D)6180
26. 如下圖,某直線道路旁有一排樹,相鄰兩棵樹之間的距離都相等,今分別 依序編號為第 1 棵、第 2 棵、第 3 棵、……、第 n 棵。若小玫與阿庭同時出 發,阿庭走路的速率是小玫的 2 倍,小玫由第 1 棵往第 n 棵走,阿庭由第 n 棵往第 1 棵走,而且兩人恰好在第 19 棵樹相遇,則 n 之值為何? (A) 54 (B) 55 (C) 56 (D) 57
27. 如下圖,荷花景觀公司設計一長方形荷花池,其中荷花池長為 20 公尺,寬 為(x 2 − 1)公尺,在其內部規劃步道,此步道為 P、Q、R、S 四個大小不同 的平行四邊形緊密排列組成,使得可種植荷花的面積剩下 380 平方公尺,若為 x 公尺,則 x 之值為何? (A) 4 (B)4.5 (C)5 (D) 5.5
28. 小文班上在校慶園遊會時分成四組販售臺灣美食,各組所賺的金額如下表所示,全班決定將各組所賺金額的 作為期末聚餐基金,所賺金額的捐贈給公益團體。已知四組拿出要捐贈給公益團體的金額共有 2116 元,經 導師清點後發現有一組把聚餐基金與捐給公益團體的金額弄反了,而其他三 組正確無誤。請問是哪一組弄錯? (A)第一組 (B)第二組 (C)第三組 (D) 第四組
29. 已知半圓 O 的直徑為 12,此半圓內有 6 個邊長為 3 的正三角形及 4 個扇形 (白色部分),如下圖所示,則灰色部分的面積為多少? (A)6π (B)8π (C)9π (D)12π
30. 下圖為九個正方形組成的九宮格,已知 P 點為中間正方形內部一點,A、 B、C、D、E、F、G、H 皆位於小正方形的頂點上。若△ABP 面積:△CDP 面積 = 2:3,則△EFP 與△GHP 的面積比為何? (A)2:3 (B)4:5 (C)6:7 (D)7:8
31. 下列選項中的圖形只有一個為線對稱圖形,根據圖中所給的邊長長度及角度,判斷哪一個為線對稱圖形? (A) (B) (C) (D)
32. 有球形、方形、錐形三種積木,每個形體相同的積木重量皆相同,已知 3 個 球形積木的重量與 5 個方形積木重量相同,如下圖(左);3 個方形積木的重 量也與 5 個錐形積木重量相同,如下圖,則下列哪一個選項的積木組合 重量最重? (A)2 個球形積木、1 個方形積木 (B)1 個球形積木、4 個錐形積木 (C)2 個方形積木、3 個錐形積木 (D)3 個方形積木、2 個錐形積木
33. 有一個實心長方體之長、寬、高分別為 10、8、6,其表面積為 a ,若以下 圖的方式在長方體內部挖掉一個底面半徑為 2 的圓柱體,剩下的立體圖形之 表面積為 b,則關於 a 與 b 之關係,何者正確? (A)a = b − 24π (B)a = b − 16π (C)a = b − 8π (D) a = b − 4π
34. 文洋國中八年級第一次段考數學科全年級總平均為 75 分,後因第 12 題更正答案,全年級 600 人中,有 210 人各被扣a 分,有 30 人各被加a 分,其餘同學分數不變。若更正後的全年級數學科總平均低於 73 分,依照上述題意,下列何者為正確的列式?(A)75 + (210a − 30a) < 73(B)75 − (210a − 30a) < 73(C)75 + < 73(D)75 − < 73
35. 將一個長方形 ABCD 切割成九個小長 方形,其中某些小長方形的面積如下圖所示。根據圖中的數據,求長方形 ABCD 之面積為何? (A)91 (B)94 (C)95 (D)100
36. 下圖為平行四邊形 ABCD 與平行四邊形 EFGH 的位置圖。若∠A=∠E=43°,且圖中 ∠1=36°,則∠2 的度數為何? (A)36 (B)43 (C)51 (D)58
37. 有一隻螞蟻在一支吃完的甜筒杯上的 A 點處,如右圖, 牠發現在對面 B 點處還有一粒小花生。已知圓筒上方的 圓直徑為 8 公分,且下方的斜邊長為 12 公分,試問這一隻螞蟻沿著甜筒杯最少要走多少公分才能到達 B 點吃小花生? (A)4π (B)8π (C)12 (D)4√10
38. 如下圖,品蓉老師欲從 A 點走到 B 點,但不可回 頭走,共可經過a 、b、c、d 四條路徑,試問品蓉 老師走此四條路徑所轉的角度大小關係為何? (A)a > b > c > d (B)d > c > b > a (C)a = b = c = d (D)a = b > c = d
39. 下圖為三角柱的展開圖,其中底面為正三角 形。已知三角柱的每一邊皆為整數,且表面積為32√3 + 480,則其體積為何? (A) 320√3 (B) 480√3 (C) 640√3 (D) 960√3
40. 甲、乙兩人各有一張 36 格的方格紙,兩人分別選定一個等差數列,將第 1 項至第 36 項隨意填入方格中。已知甲選定的等差數列之公差為正數,乙選 定的等差數列之公差為負數,下圖為兩人各自從第 1 項填到第 4 項的情形, 請問當兩人填完整張方格紙後,兩張方格紙上會有幾個相同的數? (A) 7 (B)8 (C)9 (D)10