所屬科目:教甄◆物理科專業
1. 已知所有接觸面為光滑,如圖所示,其左側面是斜面 AB,右側面是曲面 AC,已知 AB 斜面長度與 AC 曲面長度相同,有兩小球 p 與 q 同時從 A 點分別沿 AB 斜面與 AC 曲面由靜止開始下滑,比較它們到達水平面所用時間長短? (A) p 小球先到 (B) q 小球先到 (C) 兩小球同時到 (D) 條件不足無法比較
3. 有一條質料均勻的繩子停在斜坡上,如圖所示,若所有接觸面的靜摩擦係數都相同, 則靜摩擦係數至少為多少? (A) 1 (B) 2 (C) (D)
5. 如圖所示,小球用細繩繫著,放在θ角的光滑斜面上、當細繩由水平方向逐漸向上偏 移時(A➔B➔C➔D),細繩上的繩子張力將: (A) 逐漸減小 (B) 逐漸增大 (C) 先減小後增大 (D) 先增大後減小
6. 如圖所示,物體 a、b 和 c 疊放在水平桌面上,水平力分別作用 於物體 b 與 c 上,a、b 與 c 能保持靜止。以 f1、f2、f3 分別表示 a 與 b、b 與 c、c 與 桌面間的靜摩擦力之大小,則: (A) f1=5N,f2=0,f3=5N (B) f1=5N,f2=5N,f3=0 (C) f1=0,f2=5N,f3=5N (D) f1=0,f2=10N,f3=5N
7. 如圖所示,圖中車沿與水平面成 α 角之斜面上行,車中懸一單擺,擺線與鉛直線成 θ 角,據此可知車之加速度 a 為: (A)(B) (C) (D)
8. 如圖所示,一靜止小物體自半徑為 R 的固定光滑半球頂端靜止下滑,而自 A 點滑離 球體落至水平地面,則落地時的速率為何? (A) (B) (C) (D)
9. 質子以動能 E 向一靜止的 α 粒子(氦原子核)作正向彈性碰撞,當兩粒子最接近時, 它們之間的電位能為多少 E? (A) (B) (C) (D)
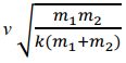
10. 在水平光滑的桌面上有質量分別為 m1 及 m2的兩質點,兩質點之間以一力常數為 k 的彈簧相連接,設彈簧之質量可以忽略。一開始,彈簧在其自然長度 L,m1 質點被 瞬間敲擊使其具有一初速 v,在此瞬間 m2 靜止,試求在此後此質點系統運動時,彈簧的最大壓縮量為多少? (A) (B) (C) (D) 以上皆非
13. 設地球半徑為 R,地表重力加速度為 g,有一人造衛星繞地球做橢圓運動,離地心最遠 4R,最近 2R,則衛星在離地球最近處時,其速度量值為多少? (A) (B) (C) (D)
14. 如圖所示,質量不等的小球 A 和 B,B 靜止在足夠長的光滑水平面上,水 平面與鉛直牆相連,A 以某一速度向左運動,若所有碰撞都是彈性碰撞,要使 A、B 二球發生第二次碰撞,A 球質量的取值範圍應是: (A) (B) (C) (D)
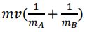
15. A、B 兩人各穿著冰刀,面對面靜止站在冰上,今 A 將手中籃球拋傳給 B 接住。設 兩人的質量各為 mA 及 mB,籃球的質量為 m,而籃球傳出的水平速度為?,則當籃球 傳過之後,A、B 兩人相對速度之大小為: (A) (B) (C) (D)
17. 已知某行星 m 繞太陽運轉,其軌道上遠日點距太陽為 12 AU,且速率為 v;而此行星公轉週期為27 年,則行星由遠日點到近日點受太陽引力的衝量量值為多少? (A) 4 mv (B) 3 mv (C) mv (D)
18. 設地球半徑為 R,一太空船以半徑 3R 的圓軌道環繞地球運轉,其週期為 T。現太空船欲返回地球,可在其軌道上某點 A 將速率降低至某適當數值,然後使太空船沿著以地心為焦點的橢圓軌道運行,此橢圓軌道與地表相切於 B 點,如圖所示。太空船 由 A 至 B 需時: (A) (B) (C) (D)
19. 如圖所示,水分子氫、氧原子間距為,各原子質量為 mO = 16 mH,其中 mH =kg。兩 H – O 鍵夾角為 105°。求分子對過 O 原子且垂直於兩 H 原 子連線之軸的轉動慣量為: (A) (B) (C) (D)
21. 將線密度比為 1:4:9 的 A、B、C 三條弦串連在一起後,兩端以定力 F 拉之,則 A、B、C 三條弦上的張力之比為: (A) 1:4:9 (B) 1:2:3 (C) (D) 1:1:1
24. 某理想氣體分子,其能量的為質心動能。將該氣體置於透熱的汽缸中,已知平衡時 的氣壓為 1.0 大氣壓、溫度為 300 K、體積為 1.0 立方公尺,則緩慢加熱氣體,使其 溫度增高為 600K,若加熱過程的壓力維持不變,則在此過程中,氣體對外做功約為 多少焦耳? (A) 1.0×105 (B) 1.5×105 (C) 1.8×105 (D) 2.3×105
25. 一個容積為 500cc 的玻璃杯,內部裝滿水。已知玻璃杯的線膨脹係數為 ,且水的體膨脹係數為,則當溫度上升 20℃ 時,由杯中溢出的水量約 為多少 cc?(不考慮表面張力效應) (A) 1.4 (B) 2.8 (C) 4.2 (D) 8.9
28. 將氦氣裝在 AB 兩個不同的容器內,其壓力與絕對溫度分別為:1atm、300K 與 4atm、400K,則 AB 容器內氦分子的的方均根速率比為: (A) 1:4 (B) 4:1 (C) (D)
29. 將線密度為 2μ 與 μ 的兩繩串聯後,固定於兩牆面間,如圖所示。今輕敲兩繩接點處,產生向兩邊傳遞的脈波,則兩脈波經牆面反射後,首度相遇的位置,與繩子的接點相距為: (A) (B) (C) (D)
30. 邊長 20 cm 之正方形放在焦距 40 cm 之凹面鏡前 60cm 處,如圖所示,則成像面積為多少 cm2? (A) 600 (B) 800 (C) 1000 (D) 1200
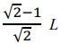
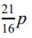
31. 某生在空氣中操作單狹縫實驗時,發現中央亮紋的寬度為p,若將整組裝置改在折射率為的水中進行時,則第 3 亮紋中線與中央亮紋中線的距離為: (A) (B) (C) (D)
33. 將一半徑為 20 公分的孤立金屬球予以充電,使金屬球的電位由 V= 0 增加到 V= 6 ×106 伏特,約需導入多少庫倫電量? (介電常數 F/m) (A) (B) (C) (D)
34. 如圖所示,一半徑為 R 的空心金屬球殼,原不帶電。今將一帶 – Q 的點電荷移至距球心 3R 處,且將球殼接地,則球殼上的感應電荷量為: (A)Q (B) (C) (D)
35. 有彼此相距甚遠的甲、乙兩帶電金屬球,甲、乙兩球的半徑各為 a 及 b。假如在無窮遠處電位為零,甲、乙兩球的電位分別為。今以一細長導線接觸兩球,使兩球成為等電位後,再將此導線移開,則此兩球之電位為若干? (A) (B) (C) (D)
37. 長度為 L 的金屬棒,在均勻磁場中,繞通過 O 點的軸轉動,如圖所示。已知金屬棒轉動的角速度為 ω,則金屬棒兩端的電位差為多少? (A) 0 (B) (C) (D)
38. 以波長為 λ 的光照射某金屬表面,所放出電子的最大動能為 T。若改用波長為的光照射,則所放出電子的最大動能為 3T。試問 T 為何?(選項中 h 為卜朗克常數, c 為光速) (A) (B) (C) (D)
39. 若一宇宙射線中的介子生命期比靜止時增加了三倍,則此介子的速度為光速 c 的多少倍? (A) (B) (C) (D)
40. 若一粒子的靜止能量為 E,則當總能量為其靜止能量的 9 倍時,該粒子的動量為多少 E/c? (A) (B) (C) 3 (D)