所屬科目:技檢◆工業電子-丙級
1. 某三用電表 DCV 的靈敏度為 20KΩ/V,其範圍選擇開關置於 DCV1000V 位置,則電表的總內阻為(A)1KΩ(B)20MΩ(C)20KΩ(D)21MΩ。
2. 二極體不能做下列那一項工作(A)放大(B)偏壓(C)整流(D)檢波。
3. 某一放大器其輸入功率為 0.1W,輸出功率為 10W,則功率增益為(A)10dB(B)1dB(C)0.1dB(D)20dB。
4. 放大器的偏壓選擇不當,將引起(A)頻率失真(B)輸入信號短路(C)相位失真(D)波幅失真。
5. 集合式住宅的地下停車場需要維持通風良好的空氣品質,又要兼顧節能效益,下列的排風扇控制方式何者是不恰當的?(A)結合一氧化碳偵測器,自動啟動/停止控制(B)兩天一次運轉通風扇就好了(C)設定每天早晚二次定期啟動排風扇(D)淘汰老舊排風扇,改裝取得節能標章、適當容量高效率風扇。
6. 指針式三用電表中,零歐姆調整鈕可用於補償(A)電池老化(B)指針硬化(C)濕度變化(D)溫度變化。
7. 一般音頻信號產生器內之振盪器,通常為(A)考畢子振盪器(B)韋恩電橋振盪器(C)哈特萊振盪器(D)RC 相移振盪器。
8. 下圖若 3kΩ 開路,則 A-B 間電壓為(A)0V(B)4V(C)6V(D)10V。
9. 室內裝修業者承攬裝修工程,工程中所產生的廢棄物應該如何處理?(A)河岸邊掩埋(B)交給清潔隊垃圾車(C)委託合法清除機構清運(D)倒在偏遠山坡地。
10. 我國國家標準 CNS 規定工業用圖紙,以下何種為公制?(A)LEGAL(B)LETTER(C)A4(D)B。
11. 根據環保署資料顯示,世紀之毒「戴奧辛」主要透過何者方式進入人體?(A)透過雨水(B)透過呼吸(C)透過觸摸(D)透過飲食。
12. 下述哪個邏輯閘具有下圖的真值表
(A)(B)(C)(D) 。
13. 下列何者不是設置反貪腐專責機構須具備的必要條件?(A)使該機構的工作人員行使職權不會受到不當干預(B)賦予該機構必要的獨立性(C)賦予該機構的工作人員有權力可隨時逮捕貪污嫌疑人(D)提供該機構必要的資源、專職工作人員及必要培訓。
14. 元素的原子量是指(A)電子數+中子數(B)電子數+質子數(C)質子數+中子數(D)電子數。
15. 有關延長線及電線的使用,下列敘述何者錯誤?(A)拔下延長線插頭時,應手握插頭取下(B)應避開火源,以免外覆塑膠熔解,致使用時造成短路(C)使用中之延長線如有異味產生,屬正常現象不須理會(D)使用老舊之延長線,容易造成短路、漏電或觸電等危險情形,應立即更換。
16. 下圖以布林(Boolean)代數式表示為(A)F=A⊙B(B)F=A‧B(C)F=A+B(D)F=A⊕B。
17. RLC 電路中,僅有(A)電阻器(B)RLC 消耗功率(C)電容器(D)電感器。
18. 配線端點焊接時,端點與導線 PVC 絕緣皮之間距,應(A)約為導線線徑的四倍(B)保持在 1mm 以下(C)保持在 0.5mm~2mm(D)不得有任何間距。
19. 在 CNS 標準中,繪圖之元件外型尺寸常採用(A)台制(B)公制(C)英制(D)德制。
20. 10mA 等於(A)0.01 安培(B)0.1 安培(C)0.001 安培(D)0.0001 安培。
21. 下列元件何者不可做光感測器﹖(A)光二極體(B)光敏電阻(C)光電晶體(D)發光二極體。
22. 以下對於「工讀生」之敘述,何者正確?(A)工資不得低於基本工資之 80%(B)每日正常工作時間得超過 8 小時(C)國定假日出勤,工資加倍發給(D)屬短期工作者,加班只能補休。
23. 有關著作權的下列敘述何者錯誤?(A)在網路的部落格看到一篇文章很棒,只要註明出處,就可以把文章複製在自己的部落格(B)在網路散布盜版光碟,不管有沒有營利,會構成侵害著作權(C)撰寫碩博士論文時,在合理範圍內引用他人的著作,只要註明出處,不會構成侵害著作權(D)將補習班老師的上課內容錄音檔,放到網路上拍賣,會構成侵害著作權。
24. 一電阻器標示為 100Ω±5%,其電阻值最大可能為(A)105Ω(B)95Ω(C)100.5Ω(D)100Ω。
25. 2μF 與 3μF 之電容器串聯後接於 100V 之直流電源,則 3μF 電容器之端電壓為(A)60V(B)50V(C)40V(D)100V。
26. 下列何者非屬應對在職勞工施行之健康檢查?(A)體格檢查(B)特殊健康檢查(C)一般健康檢查(D)特定對象及特定項目之檢查。
27. 下圖符號表示何種閘?(A)射極開路輸出(B)集極開路輸出(C)集極閉路輸出(D)射極閉路輸出。
28. 市電之驗電起子可用來判別(A)AC 10KV(B)DC 10KV(C)AC 110V(D)DC 3V。
29. 半波整流電中(含一個二極體及電容)二極體之最大反向電壓約為電源峰值的(A)1.414 倍(B)3 倍(C)1倍(D)2 倍。
30. 電阻與導線的截面積(A)平方成正比(B)成反比(C)成正比(D)無關。
31. 下列何者不是工具管理維護的要點?(A)專人維護管理(B)尖銳刀口不需保護(C)定期檢查與保養(D)設置工具保養記錄卡。
32. 以指針式三用電表量測 2PF 的電容器,則電表偏轉量(A)一半(B)很小(C)很大(D)不動。
33. 對於職業災害之受領補償規定,下列敘述何者正確?(A)須視雇主確有過失責任,勞工方具有受領補償權(B)勞工若離職將喪失受領補償(C)勞工得將受領補償權讓與、抵銷、扣押或擔保(D)受領補償權,自得受領之日起,因 2 年間不行使而消滅。
34. 我國國家標準的簡稱是(A)JIS(B)ISO(C)CNS(D)DIN。
35. 下圖順時鐘(向下)調整可變電阻 A、B 之間的電阻值(A)不變(B)先小後大(C)愈來愈小(D)愈來愈大。
36. 銲錫焊接時,若助焊劑變黑或焊接表面有氧化膜產生,表示焊接時(A)表面不潔(B)溫度過高(C)溫度太低(D)助焊劑不良。
37. FET 三個參數(gm,rd,μ)之關係是(A)rd=gm×μ(B)gm=μ×rd(C)rd=gm/μ(D)μ=gm×rd。
38. 下列電阻器何者可使用於高功率(A)碳膜電阻器(B)氧化金屬皮膜電阻器(C)水泥電阻器(D)碳素固態電阻器。
39. 直流電源的頻率為(A)0Hz(B)∞Hz(C)100Hz(D)50Hz。
40. 目前電費單中,係以「度」為收費依據,請問下列何者為其單位?(A)kW(B)kJh(C)kJ(D)kWh。
41. 我國中央勞工行政主管機關為下列何者?(A)內政部(B)勞動部(C)勞工保險局(D)經濟部。
42. 在一電容與電感並聯諧振電路中,流過兩支路的電流各為 1A,則其總電流為(A)0.707A(B)1A(C)2A(D)0A。
43. 請問下列何者「不是」個人資料保護法所定義的個人資料?(A)身分證號碼(B)最高學歷(C)綽號(D)護照號碼。
44. 下圖所示若輸入端 F i n 加入一個 20kHz 之方波信號,則其輸出信號 Fo u t 頻率為(A)5kHz(B)2kHz(C)10kHz(D)20kHz。
45. AC 電源線部份之接點(A)必須以熱縮套管絕緣(B)必需以束線帶束在一起(C)為防止漏電,必須用螺絲固定(D)為加強散熱,需直接暴露於空氣中。
46. 下列何者為“UJT”之符號?(A)(B)(C)(D) 。
47. 下列何者最有可能為 UJT 的本質內分比(η)之值?(A)0.6(B)1.9(C)0.1(D)5.0。
48. 在共射極電路中,其電晶體的 β 值相當於那一參數(A)h r e(B)h c e(C)hie(D)hfe。
49. 三用電表之直流電壓檔若有 3V,12V,30V,120V,則那一檔之輸入阻抗最高(A)12V(B)30V(C)120V(D)3V。
50. 儀器使用時若電壓衰減 20dB 代表衰減(A)100 倍(B)10 倍(C)40 倍(D)20 倍。
51. 下圖符號為(A)通道二極體(B)發光二極體(C)稽納二極體(D)整流二極體。
52. 一般音頻信號的頻率範圍為(A)100Hz~1kHz(B)1kHz~10kHz(C)20Hz~20kHz(D)20kHz~50kHz。
53. 共集極電路結構是(A)(B)(C)(D)。
54. 家人洗澡時,一個接一個連續洗,也是一種有效的省水方式嗎?(A)是,因為可以節省等熱水流出所流失的冷水(B)否,因為等熱水時流出的水量不多(C)否,這跟省水沒什麼關係,不用這麼麻煩(D)有可能省水也可能不省水,無法定論。
55. 水中生化需氧量(BOD)愈高,其所代表的意義為下列何者?(A)有機污染物多(B)水質偏酸(C)水為硬水(D)分解污染物時不需消耗太多氧。
56. 多芯線使用於 PCB 板焊接時,剝線後使用前之處理下列何者為宜?(A)鍍錫(B)加焊油(C)加防鏽膏(D)加散熱膏。
57. pico 法拉是(A)10-9 法拉(B)10-6 法拉(C)10- 1 5 法拉(D)10- 1 2 法拉。
58. 焊接作業中,使用松香之主要功能為(A)冷卻(B)清除電烙鐵之氧化物(C)助熔(D)消除焊點污垢。
59. 剝除電工導線之 PVC 外皮時應使用(A)打火機燒(B)牙齒剝除(C)士林刀(D)榔頭敲。
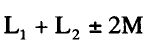
60. 下列何種顏色導線使用於較高的電壓(A)紫色(B)白色(C)灰色(D)紅色。
61. 兩電感串聯考慮互感時總電量為(A)(B)(C)(D) 。
62. 下列四個邏輯閘表示圖,何者為正確?(A)(B)(C)(D) 。
63. 測量導線線徑宜用(A)線規(B)鋼尺(C)皮尺(D)卡鉗。