所屬科目:一二三等大管輪◆電機電子與自動控制
1. 直流電動機如何改變轉速,下列何者不正確? (A)改變場磁通Φ (B)改變電樞外加電壓Ea(C)改變電樞電阻Ra (D)改變極數
3. 一部三相、4極、60Hz、220伏、△接線、2HP的繞線式感應電動機,其轉子為Y接 ,轉子每相之線圈數與定子每相的線圈數之比為1:4。滿載轉速為1740rpm,轉子的 電阻為0.193歐姆,轉子堵轉時之電抗為0.71歐姆,若忽略定子電阻及漏電抗的壓降 ,試求:滿載時轉子的輸出功率? (A)1500W (B)1600W (C)1491.4W (D)1450.6W
6. 已知某一個交流電源表示為,假設電壓峰值為200伏特、頻率為60Hz、相角為10度,試問將該電壓投入電壓匯流排30秒之後的瞬時電壓約為: (A)0伏特 (B)100伏特 (C)34.7伏特 (D)50伏特
8. 下列對於電感性電路的敘述何者正確? (A)相位關係為電流領先電壓90度 (B)電感的平均功率為零 (C)(D)
9. 試求圖二之等效電阻R,其中RA為2歐姆、RB為4歐姆、RC為4歐姆(A)R=10Ω (B)R=11Ω (C)R=12Ω (D)R=13Ω
21. 若V為電壓,I為電流,N為匝數,下標1表示初級線圈,下標2表示次級線圈,則一理想變壓器之電壓-匝數-電流之關係為: (A)(B)(C)(D)
22. 使用電壓100伏特,電流10安培,功率因數0.5之交流負載,其電阻值為多少 Ω: (A)5 (B)10 (C)50 (D)100
23. 三相感應電動機若使用自耦變壓器進行降壓起動,若降壓比為1/n,則以補償器啟動法的起動電流為全電壓起動電流的 (A)1/n (B)1/n2(C)(D)1 /(2n)
24. 三相感應電動機若使用自耦變壓器進行降壓起動,若降壓比為1/2,則其起動轉矩為全電壓起動轉矩的 (A)1/4 (B)1/2 (C)(D)1/8
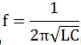
39. 由電阻器、電感器與電容器串聯所構成之RLC串聯電路,當電壓源為Vmsin(2πft),當電壓源的頻率為 時,RLC電路電壓與電流相位關係為何? (A)電壓與電流同相位 (B)電壓相位落後電流相位 (C)電壓相位超前電流相位 (D)電壓相位與電流 相位無關
42. 如下圖所示,若I=6A,I1 =2A,則R1與R2的關係為何 ? (A)R1 =R2 (B)2R1 =R2 (C)R1 =2R2 (D)3R1 =2R2