所屬科目:通信系統
(一)試計算以下函數的反 Fourier 轉換:
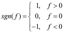
(二)請利用第(一)小題的結果計算 sgn( f ) 的反 Fourier 轉換,其中:
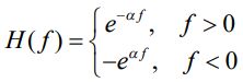
(四)請利用第(三)小題的結果計算 cos(2π f ct ) 的 Hilbert 轉換。
(四)假設訊息訊號為 sin(2π f m ) 。當 β<< 1,試說明為什麼此時的 PM 訊號的數學表示式可以近似為:(提示:可以用泰勒展開式來展開 PM 訊號)
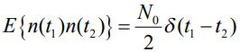
(三)試著推導此傳輸訊號在高斯白雜訊的通道環境中最佳之接收器,假設n(t )為高斯白雜訊,則 。(10 分)