阿摩線上測驗
登入
首頁
>
通信系統
>
112年 - 112 公務升官等考試_薦任_電信工程:通信與系統#117352
> 申論題
題組內容
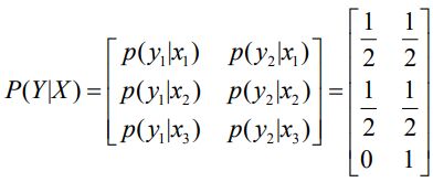
三、假設通道的轉移機率矩陣(transition probability matrix)為:
(二)決定一個輸入機率分布使得通道輸出的機率都相同 ( p( y
1
) = p( y
2
)) 。 (5 分)
相關申論題
(一)試計算以下函數的反 Fourier 轉換:
#501652
(二)請利用第(一)小題的結果計算 sgn( f ) 的反 Fourier 轉換,其中:
#501653
(三)請說明 x (t ) 的 Hilbert 轉換的 Fourier 轉換、 X ( f ) 與 sgn( f ) 之三者之間的關係,其中 X ( f ) 為 x (t ) 的 Fourier 轉換。
#501654
(四)請利用第(三)小題的結果計算 cos(2π f ct ) 的 Hilbert 轉換。
#501655
(一)試寫出 PM 調變的數學模型與畫出簡易傳輸器系統圖。
#501656
(二)請說明 FM 與 PM 調變的差異處。
#501657
(三)請說明如何利用 FM 解調器來解調 PM 的訊號。 (可以加入適當的函數來完成題目)
#501658
(四)假設訊息訊號為 sin(2π f m ) 。當 β<< 1,試說明為什麼此時的 PM 訊號的數學表示式可以近似為:(提示:可以用泰勒展開式來展開 PM 訊號)
#501659
(一)假設所有輸入機率都相同 ( p( x1 ) = p( x2 ) = p( x3 )) ,請算出通道輸出機率分布。(5 分)
#501660
(三)計算此通道的通道容量與在此時的輸入機率分布。 (10 分)
#501662
相關試卷
114年 - 114 地方政府公務特種考試_四等_電信工程:通信系統概要#134755
114年 · #134755
114年 - 114 地方政府公務特種考試_三等_電信工程:通信與系統#134723
114年 · #134723
114年 - 114 公務升官等考試_薦任_電信工程:通信與系統#133270
114年 · #133270
114年 - 114 調查特種考試_三等_電子科學組:通信與系統#129592
114年 · #129592
114年 - 114 高等考試_三級_電信工程:通信與系統#128757
114年 · #128757
114年 - 114 普通考試_電信工程:通信系統概要#128733
114年 · #128733
113年 - 113 地方政府公務特種考試_四等_電信工程:通信系統概要#124540
113年 · #124540
113年 - 113 調查特種考試_三等_電子科學組:通信與系統#122111
113年 · #122111
113年 - 113 普通考試_電信工程:通信系統概要#121514
113年 · #121514
113年 - 113 高等考試_三級_電信工程:通信與系統#121501
113年 · #121501