所屬科目:教甄◆數學
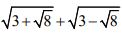
26. 根式化簡之後的值為何? (A) (B) (C)3 (D)
28. 已知a,b,c形成公差為 1 的等差數列,b,c,d為等比數列。若d=a+8,則 a 之值為何? (A)3 (B)(C)(D)
29. 根式(一個 7,其他都是 2) 化簡之後的值為多少? (A) (B) (C)3 (D)
31. 設f(x) =x3-3x2-5x+9。請問下列哪一個選項最接近f (1.002)? (A)1.984 (B)1.992 (C)2.008 (D)2.016
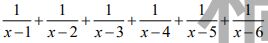
33. 方程式=0恰有幾個實根? (A)5 (B)6 (C)7 (D)8
34. 設x1,x2,....,xn 為兩兩相異的正實數。請問下列哪一個選項的值為最大? (A)(B)(C)(D)
35. 坐標平面上有兩圓。請問它們的兩條外公切線的交點坐標為何? (A)(−10,0) (B)(−5,0) (C)(5,0) (D)(10,0)
37. 坐標平面上有三角形 ABC,其中 A 的坐標為(3,1)。已知邊的中點與邊的中點連線的方程式為2x-y=0,請問由 A 所引的高,其垂足坐標為何? (A)(1,2) (B)(0,0) (C)(−1,3)(D)數據不足,無法確定
40. 定義兩歪斜線的夾角θ為其兩方向向量的夾角 (取 0 ≤ θ < π)。今空間中有兩歪斜線 L1, L2。若直線 L 與 L1 的夾角等於 L 與 L2 的夾角,問這樣的 L 有多少條? (A)1 條 (B)2 條 (C)3 條 (D)無限多條
41. 下列哪個數不是矩陣的 eigenvalue? (A)−1 (B)0 (C)1 (D)2
43. 在 ∆ABC中,∠A, ∠B, ∠C 所對的邊分別為 a, b, c。已知,則關於 ∠A 可做出以下 哪個判斷? (A)∠A 必為銳角 (B)∠A 必為直角 (C)∠A 必為鈍角 (D)以上皆非
45. 給定邊長為 1 的正三角形 ∆ABC。點D, E分別在邊上,使得=1: 2。則向量AD和向量CE的內積為何? (A)(B)(C)(D)
46. 已知實數 a, b, c 滿足 abc ≠ 0,且。 則在坐標平面上,直線 y = rx + r 必定通過哪幾個象限? (A)第一象限,第二象限 (B)第二象限,第三象限 (C)第三象限,第四象限 (D)第四象限,第一象限
48. O 是正六邊形 ABCDEF的中心。點M在上,且。點 N為中點。求 ΔABN: ΔBCN 的面積比為何? (A)9:5 (B)7:4 (C)5:3 (D)3:2
50. 在平行四邊形 ABCD 中, = 15。過點D作一圓,切於G ,切於H,交於E,交於F 。若,則的長度為何? (A)5 (B)6 (C)7 (D)8