所屬科目:工程力學(含靜力學、動力學與材料力學)
1.有關作用於物體上之重力,下列敘述何者錯誤?(A)以工程力學之本質而言為分佈力 (B)具有大小及方向(C)為超距力 (D)僅會產生外效應,無內效應
2.以靜力學範疇而言,力矩為:(A)自由向量 (B)滑動向量 (C)固定向量 (D)非向量
3. 1 kg 質量之物體在地表上所受到的重力大小約為:(A) 1 N (B) 9.81 N (C) 1 kg-m/s2 (D) 1 dyne
4.以力學原理而言,扳手可說是下列何者之應用?(A)摩擦原理 (B)槓桿原理 (C)等時性原理 (D)斜面原理
5.在求一物體之重心位置時,其所使用之力學原理主要是:(A)力之等效性原理 (B)力之可移性原理 (C)力之內效應原理 (D)力之平衡原理
6.有一於垂直面上之集中力,其大小為 100 N、作用線方向與水平軸夾角為 30°,則其水平與垂直軸上之分量大小分別為:(A) 50.0 N、86.6 N(B) 50.0 N、50.0 N(C) 86.6 N、50.0 N(D) 86.6 N、86.6 N
7.如【圖 7】所示之力系,其合力 R 之 x、y 分量為:(A) Rx = −6 N、Ry = 29 N(B) Rx = 6 N、Ry = 29 N(C) Rx = −6 N、Ry = −29 N(D) Rx = 6 N、Ry = −29 N
8.一外伸樑承受之負載,如【圖 8】所示,則 A 點之平衡反力為:
(A) 20 N (B) 40 N (C) 60 N (D) 80 N
9.一平面上之平行力系在物體靜平衡之情況下,最多可寫出幾個有效之平衡方程式(即可求解未知反力之方程式)?(A) 1 (B) 2 (C) 3 (D) 4
10.下列何者不屬於庫倫摩擦定律?(A)摩擦力與接觸面積大小無關 (B)動摩擦係數與相對之滑動速度無關(C)摩擦力與正向接觸力大小無關 (D)動摩擦係數小於靜摩擦係數
11.如【圖 11】所示之重物,W 置於靜摩擦係數為 0.5 的水平面上,當推力 P 慢慢增加時:
(A)先發生滑動(B)先發生轉動傾斜(C)滑動與轉動傾斜同時發生(D)先發生轉動到某一角度後再接續滑動
12.有一凸輪從動件在一直線上做往復之簡諧運動(harmonic motion),則其運動特性之敘述下列何者正確?(A)此運動為一變速運動 (B)此運動為一等加速運動(C)加速度大小在行程中點最大 (D)速度在行程兩端點最大
13.有一汽車在高速公路平面匝道上以 60 km/h 之等速率行駛,匝道之曲率半徑為 40 m,則下列敘述何者錯誤?(A)其切線速度大小 16.67 m/s (B)其加速度切線分量為 0 m/s2(C)其合加速度大小為 6.95 m/s2 (D)其繞行匝道之角速度大小為 1.5 rad/s
14.有一皮帶輪直徑為 300 mm,當皮帶輪轉速為 360 rpm 時,皮帶之線速度為多少 m/s?(A) 1.8π (B) 3.6π (C) 108.0π (D) 216.0π
15.如【圖 15】所示之煞車器當作動時,煞車塊會產生正向接觸力 200 N,且接觸面之摩擦係數為0.3,若在煞車輪轂轉動 2 圈後完全煞停,則此次煞車過程所產生之摩擦熱為多少 J(焦耳)?
(A) 72π (B) 36π(C) 18π (D) 9π
16.一棒球選手以 30 m/s 之速度,從 2 m 之高度並以與水平成 45o 之角度傳出棒球,若不計空氣阻力,且球於相同之 2 m 高度由另一球員接住,則此球飛行之水平距離為多少 m?(g 為重力加速度)(A)(B)(C)(D)
17.有一汽車以 100 km/h 之速度在水平直線道路行駛,當駕駛因緊急狀況瞬時踩死煞車,使輪胎與地面間產生打滑。若地面與輪胎之動摩擦係數為 0.7,則此車於完全停止前所會產生的煞車距離為多少 m?(重力加速度 g=9.81 m/s2)(A) 39.3 (B) 43.7 (C) 49.2 (D) 56.2
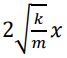
18.有一電梯急速上升加速,則電梯中乘客作用於電梯地板之作用力會比其體重:(A)減少 (B)不變 (C)增加 (D)需視重力加速度大小才能決定
19.有一馬戲團之特技表演係騎機車在圓形垂直軌道內部繞圈,若圓之直徑為 10 m,則此機車所需之最小時速為多少 km/h,以免於軌道最高點喪失維持貼合於軌道上?(重力加速度 g=9.81 m/s2)(A) 17.8 (B) 25.2 (C) 35.7 (D) 50.4
20.有一物體質量為 m、質心速度為 v、質心轉動慣量為 I、轉動角速度為ω,則此物體的總動能為:(A)mv2 (B)Iω2 (C)mv2 +Iω2 (D)mv2 −ω22
21.如【圖 21】所示,在一無摩擦之水平面上有一質量塊質量為 m,連接於一彈簧常數為 k 之彈簧,若彈簧從自由長度拉伸了 x 距離,當釋放後此質量塊可達到之最大速度為:(A)x (B)x(C)x (D)
22.下列哪一物理量不是無因次(dimensionless)?(A)剪力模數(modulus of rigidity) (B)剪應變(shear strain)(C)體積應變(volumetric strain) (D)蒲松氏比(Poisson’s ratio)
23.一般鐵軌截面會做成”工”字形,主要原因為何?(A)相同鐵軌長度與重量下,截面積尺寸可以較大(B)”工”字形最適合與車輪造型輪廓配合(C)相同鐵軌長度與重量下,截面彎曲慣性矩可以較大(D)”工”字形截面之抗扭變形能力較佳
24.有關樑截面上之彎曲應力σ及剪應力τ,下列敘述何者錯誤?(A)σmax發生於離中性軸最遠處 (B) τmax發生於中性軸處(C)中性軸通過截面形心,且其σ=0 (D)於截面之上、下自由邊,τ可以不為 0
25.有一傳動軸傳動功率為 2 kW,且其轉速為 1200 rpm,則此傳動軸之傳動扭矩為多少 N-m?(A)(B)(C)(D)
26.若一實心之銅製圓軸承受 20 N-m 之扭矩,軸直徑為 10 mm,則軸內之最大扭轉剪應力為多少 MPa?(A)(B)(C)(D)
27.下列敘述何者正確?(A)力之三要素為時間、空間、質量(B)具有質量、體積的點稱為質點(particle)(C)物體受外力作用時,形狀、大小會隨之改變者謂之剛體(rigid body)(D)凡能改變物體之運動狀態或使之變形、或有此種改變趨勢之作用者稱為力(force)
28.空間共點力系,平衡方程式最多得以求解幾個未知力?(A) 1 (B) 2 (C) 3 (D) 4
29.材料受力若僅產生彈性變形,則嚴格而言受力產生之應力應小於材料之:(A)比例限 (B)彈性限(C)降伏強度 (D)彈性係數
30.如【圖 30】所示,有桿長 5m 之懸臂樑,其右端施加 500N 之 F 力,試求此 F 力對左側端點產生的力矩為多少 N-m?
(A) 1250(B) 1500(C) 2165(D) 2500
31.有關自由體圖(free body diagram)之敘述,下列何者錯誤?(A)自由體圖上之力,無論已知力或未知力應全部標示出來(B)繩索只承受張力作用,故力量必沿著繩子的方向、指向物體(C)光滑面反作用力之作用線必垂直於支承面(D)鉸支承一般先行假設二互相垂直之分力,且作用於接觸點
32.如【圖 32】試求桁架之 AB 桿所受之軸應力為多少 N?
(A) +7.5 (B) -7.5 (C) +12.5 (D) -12.5
33.有三質點重量為 15N、15N、20N 分別作用於(2,5)、(5,4)、(3,-2),試求三質點之重心 x 座標為何?(A) 1.9 (B) 2.4 (C) 2.9 (D) 3.3
34.一圓桿長 2m,斷面積為 20mm2,承受 50kN 的軸向拉力後圓桿伸長量為 2cm,試求此圓桿的彈性係數為何?(A) 250MPa (B) 2500MPa (C) 25GPa (D) 250GPa
35.一體積為 20cm3、彈性係數為 2.0×106kgf/cm2、蒲松比為 0.25 的正方體重金屬塊,若放置於水下 50m處,試問其體應變為何?(A) 3.75×10-3 (B) 3.75×10-6 (C) 7.5×10-2 (D) 7.5×10-5
36.如【圖 36】,有兩塊寬 200mm 木板利用膠水相黏緊密搭接,搭接長度為 300mm,若此木板在外力15kN 的作用下,其膠合面所承受的剪應力為多少 MPa?
(A) 0.25(B) 2.5(C) 25(D) 250
37.如【圖 37】,已知一桁架的節點由四個構件所組成,已知二構件之內力分別為 600N 及 400N,試問構件內 Q 力的大小為多少 N?(A) 1000 (B) 400 (C) -400 (D) -1000
38.於空間平行力系中,若各力量皆平行於 x 軸,則下列何者為平衡時所需的條件?(A) ΣFx = 0,ΣMy = 0,ΣMz = 0 (B) ΣFy = 0,ΣMx = 0,ΣMz = 0(C) ΣFz = 0,ΣMx = 0,ΣMy = 0 (D) ΣMx = 0,ΣMy = 0,ΣMz = 0
39.如【圖 39】,若均質 T 型桿重量為 100N,試求垂直牆面 B 點的受力為多少 N?
(A) 150 (B) 200 (C) 250 (D) 300
40.若有一力 F=110N,由點 A(2,0,6)指向點 B(9,6,0),試求此力對點 C(14,4,0)所產生之彎矩大小約為多少?(A) 120 (B) 300 (C) 440 (D) 545
41.一物重 40N 的滑塊靜置於水平桌面上,滑塊與桌面的動摩擦係數為 0.25、靜摩擦係數為 0.5。若施加一水平力 15N 於滑塊上,則此時接觸面的摩擦力為多少 N?(A) 0 (B) 10 (C) 15 (D) 20
42.如【圖 42】所示,試問該圖形形心至 x 軸的距離約為多少 m?
(A) 1.86(B) 2.78(C) 3.57(D) 4.71
43.如【圖 43】所示,若矩形的寬度為 3、高度為 4、圓的直徑為 2,試問該圖形對底邊的慣性矩為何?(A) 15.22 (B) 50.65 (C) 63.22 (D) 77.34
44.如【圖 44】所示,若矩形的寬度為 3、高度為 6,則下列敘述何者錯誤?(A)對水平形心軸的慣性矩 I 為 54 (B)對水平形心軸的迴轉半徑 K 為 3(C)對水平形心軸的截面係數 Z 為 18 (D)對形心之極慣性矩 J 為 67.5
45.有一直徑為 10mm、長 0.5m、彈性係數 E=20GPa、蒲松比為 0.4 之金屬圓桿,若受到 15kN 之軸向拉力,則下列敘述何者錯誤?(A)斷面應力大小 191.1MPa (B)伸長量 4.78mm(C)側向收縮量為 0.003824mm (D)應變為 0.00956
46.如【圖 46】所示,有一簡支樑受到一集中負荷作用,試問下列敘述何者正確?
(A)簡支樑中最大剪力為 100N(B)簡支樑中最大彎矩為 75N-m(C) C 點之彎矩值為 50 N-m(D) D 點為危險斷面
47.有一直徑為 50mm 的金屬圓棒,在某個斷面承受一 3140N-m 的彎矩作用,若楊氏係數為 230GPa,則該斷面最大彎曲應力為多少 MPa?(A) 64 (B) 128 (C) 256 (D) 512
48.有一材料受到雙軸向應力作用,σx = 250MPa、σy = 500MPa,若材料彈性係數為 250GPa、蒲松比為 0.2,則下列敘述何者正確?(A) εx = −0.6 ∗ 10−3 (B) εy = 1.2 ∗ 10−3(C) εz = 0.6 ∗ 10−3 (D) εv = 1.8 ∗ 10−3
49.有一材料受到雙軸向應力作用,σx = 120MPa、σy = −80MPa,試問在 30°角的斷面上,其正交應力大小為何?(A) -30MPa (B) 70MPa (C) −MPa (D) MPa
50.在一個直徑 200mm 的定滑輪上纏繞一條直徑 4mm 的金屬線,若金屬線的彈性係數為 150GPa,則金屬線表面產生的彎曲應力約為多少 MPa?(A) 735 (B) 1470 (C) 2206 (D) 2941