所屬科目:通信系統
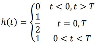
(一)該系統分別使用脈波ℎ(t)及−ℎ(t)表示二進制的'1'和'0',其中且每秒傳送一個位元(ℎ(t)或−ℎ(t)),請畫出時間域中的 PAM 訊號。(5 分)
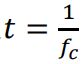
(一)在fc = 1.5MHz 及1.5kHz 時,τ分別為何?(5 分)
(二)承上,在 時對接收到的訊號取樣,所得到的值分別為何?(10 分)