阿摩線上測驗
登入
首頁
>
通信系統
>
112年 - 112 調查特種考試_三等_電子科學組:通信與系統#116225
> 申論題
題組內容
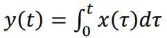
一、考慮一連續時間(continuous-time)系統,其輸出 y(t)和輸入x(t)之間的關係為:
。(每小題 5 分,共 15 分)
(一)清楚說明此系統是否為線性(linear)系統,必要時請列出相關數學式。
相關申論題
(二)清楚說明此系統是否為非時變(time-invariant)系統,必要時請列出相關數學式。
#496430
(三)若輸入為 x(t) =e-tu(t) , 其中u(t) 為單位步進函數( unit step function),求輸出y(t)。
#496431
(一)該系統分別使用脈波ℎ(t)及−ℎ(t)表示二進制的'1'和'0',其中且每秒傳送一個位元(ℎ(t)或−ℎ(t)),請畫出時間域中的 PAM 訊號。(5 分)
#496432
(二)若傳送時有雜訊(noise)干擾,該如何改變ℎ(t),以改善此干擾所造成的問題?此改變付出了什麼代價(cost)?(10 分)
#496433
(三)如何改變ℎ(t)以讓系統可以每秒傳送兩個位元?此改變付出了什麼代價(cost)?(10 分)
#496434
(一)在fc = 1.5MHz 及1.5kHz 時,τ分別為何?(5 分)
#496435
(二)承上,在 時對接收到的訊號取樣,所得到的值分別為何?(10 分)
#496436
(三)由以上結果可以得到什麼結論?(5 分)
#496437
(一)此產生器的移位暫存器序列長度為何?
#496438
(二)若跳繼率(hopping rate)為每位元 2 個跳躍(hop),位元率(bit rate)為每秒100 位元,則此頻道的跳躍頻寬(hopping bandwidth)為何?
#496439
相關試卷
114年 - 114 地方政府公務特種考試_四等_電信工程:通信系統概要#134755
114年 · #134755
114年 - 114 地方政府公務特種考試_三等_電信工程:通信與系統#134723
114年 · #134723
114年 - 114 公務升官等考試_薦任_電信工程:通信與系統#133270
114年 · #133270
114年 - 114 調查特種考試_三等_電子科學組:通信與系統#129592
114年 · #129592
114年 - 114 高等考試_三級_電信工程:通信與系統#128757
114年 · #128757
114年 - 114 普通考試_電信工程:通信系統概要#128733
114年 · #128733
113年 - 113 地方政府公務特種考試_四等_電信工程:通信系統概要#124540
113年 · #124540
113年 - 113 調查特種考試_三等_電子科學組:通信與系統#122111
113年 · #122111
113年 - 113 普通考試_電信工程:通信系統概要#121514
113年 · #121514
113年 - 113 高等考試_三級_電信工程:通信與系統#121501
113年 · #121501