所屬科目:工程數學(應用數學, 線性代數、微分方程、複變函數與機率)
1 求解線性方程組:x+y+z=3 與 x+2y-z=4 之未知數 x, y 與 z。下列敘述何者錯誤? (A)該線性方程組有無限多組解(B)為該線性方程組之一組解 (C)為該線性方程組之一組解 (D)該線性方程組解集合之維度是
2 矩陣 M = , 其中。則rank(M)為何? (A)1(B)2(C)3(D)4
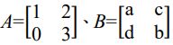
3 假設矩陣A= 。下列敘述何者錯誤?(A)矩陣 A 之反矩陣是 (B)假定 b 為,求解方程組 Ax=b 時,未知數 x 有唯一解 (C)矩陣 A 為滿秩(Full Rank) (D)向量是矩陣 A 之特徵向量
5 S= span((1,0,0,0),(0,0,0,1))為R4的子空間,則向量u=(1,1,3,5)和 S 的最短距 離為何? (A)5 (B) (C)3 (D)
6 考慮矩陣 ,B 為 A 的相似(similar)矩陣。則det(AB)為何? (A)2 (B)3 (C)6 (D)9
8 假設A= 。A∞ 為何?(A) (B) (C) (D)
9 考慮複變函數cos(z),其實部為 u(x,y),虛部為 v(x,y)且 z = x+iy。關於cos(z)敘述,下列何者正確? (A)(B)(C)(D)
10 複數z = x+iy滿足,則 z 為下列何者?(A)(B)(C)(D)
11 試求出,其中 C 由以下曲線決定:z(t) = t-it2,而 t 由 0 變化到 1。 (A)0 (B)1 (C)-1 (D)i
12 求複變函數積分,其中積分路徑 C 為逆時鐘方向繞圓|z − 3i| = 2。 (A)0 (B)iπ (C)i2π (D)-i2π
13 考慮以下微分方程式y '' − 2y = x2 − 1。下列敘述何者錯誤? (A)該微分方程式有唯一解 (B)該微分方程式之通解為 (C)假設 y(1) = 3 且y (1) =-5,c1 = (D)該微分方程式是二階微分方程式
14 考慮微分方程式。下列那一個積分因子(integrating factor)可將上述微分方程式轉換為正合(exact)微分方程式? (A) xy (B) x2y (C) xy2 (D) x2y2
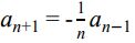
15 微分方程式y' + xy = 0的級數解為 y(x) =。對n =1,2,3,⋯,滿 n 足下列那一個關係式? (A)(B)(C)(D)
16 假設 g(t) = 。g(t)之拉式轉換(Laplace Transform)為何?(A)(B)(C)(D)
17 設 f (x)在-L < x <L的傅立葉級數(Fourier series)為,下列敘述何者正確?(A) f (x)為偶函數(even function),a0 = 0(B) f (x)為奇函數(odd function),= 0(C)A=(D)f (x)為奇函數,級數在x = L的左極限(left-hand limit)收斂到零
一、試利用拉氏轉換(Laplace transform)求解:
其中。