所屬科目:教甄◆物理科專業
1.如圖,一帶負電粒子以某速度進入水平向右的均勻電場中,在電場力作 用下形成圖中所示的運動軌跡。M 和 N 是軌跡上的兩點,其中 M 點在 軌跡的最右點。不計重力,下列表述正確的是 (A)粒子在 M 點的速率最大高考資源網 (B)粒子所受電場力沿電場方向高考資源網 (C)粒子在電場中的加速度不變高考資源網 (D)粒子在電場中的電位能始終在增加 (E)粒子在電場中的受力與軌跡方向相同考資源網
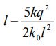
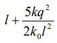
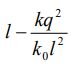
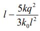
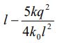
2.如圖所示,在光滑絕緣水平面上放置 3 個電荷 量均為q (q > 0)的相同小球,小球之間用彈力係數均為 k0 的輕質彈簧絕緣連接。當 3 個小球處在靜止狀態時,每根彈簧長度為l0,已知靜電力常數為k ,若不考慮彈簧的靜電感應,則每根彈簧的原長為(A) (B) (C) (D) (E)
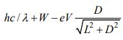
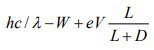
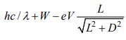
3.如圖所示,波長為λ 的光子照射功函數為 W 的金屬表面。由正極板中央 A 點釋出的光電 子經由電壓為 V 的平行電板作用後,最後經由負極上方的小孔 B 逸出。已知正負極板相距 L,小孔 B 與負極板中心點相距 D。假設小孔甚為微小,不會影響電子受電極的加速運 動。則電子由小孔逸出時,其最大動能 K 為何?選項中e > 0為電子電荷大小,V > 0,h 為 卜朗克常數。(A) hc/λ − W+eV (B) hc/ λ −W −eV (C) (D) (E)
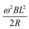
4.有一以 O 為圓心、L 為半徑的 OMN 扇形電路置於均勻磁場 B 中如圖所示,磁場垂直穿入紙面,半徑 OM 之間有電阻 R,電路中其他電阻可忽略不計。OM 與 MP 弧固定不動, 而長度為 L 的 ON 以 O 為軸心作順時針往 P 方向旋轉,角 速率為ω ,則電路中電流為下列何者?(A)(B)(C)(D) (E)
5.小明對某定量理想氣體做壓力 P 與體積 V 在恆温下 的實驗,温度為 T1 與 T2 時的 P-V 曲線如圖所示。 已知 T1 為 27℃,下列有關此理想氣體的敍述何者正確?(A)此理想氣體分子的方均根速率在 T1 與 T2 時相同 (B)T2 約為 400℃ (C)T2 約為 227℃ (D)此理想氣體約為 27 莫耳 (E)此理想氣體約為 2.4 莫耳
6.如圖所示,在光滑平面上,一質量為 m 的小物體,以一 定的初速 v 接近質量為 M 的靜止斜面。若斜面可移動, 阻力不計,求小物體能爬上斜面的最大高度 =________。
7.如圖所示,彈力常數質量不計的 k 的彈簧一端固定在鉛直牆壁,另一端繫一質量為 3m 的物體 B 於光滑水平面上,在物體 B 的上面放置一質量 為 9m 的物體 A。若欲使 A 物體做簡諧運動,且 A 與 B 間無相對運 動,則簡諧運動的週期為_________。
8.一立方體水族箱水深 20cm,今在箱底置一平面鏡,並將一沉體吊掛於水面下 8cm 處,則由水面處垂直下視,鏡中像之視深為_______cm。(註:水的折射率為 )
9.將焦距為 10 cm 的柱狀凸透鏡,等分為二部分後,使兩部分對稱於原來的主軸相距 0.1mm,如右圖所示(橫剖面圖)。今將單色線光源 S(發出波長 6000Å 的光)置於主軸上鏡前 20 cm 處,鏡後 120 cm 處有一光屏,則光屏上亮紋寬度為______m。
11.如圖,電子(質量 m 電量-e)以速率 v 沿主軸進 入長 L 的電場區,電場強度 E、方向與電子入 射方向垂直。v 夠大,電子會離開電場區繼續運動,直到打在螢幕上。電場區右邊界到螢幕距離 D,求電子擊中螢幕的位置與主軸的距離 y=_________。
13.解釋教材:不確定度實驗室有五個測試的鐘,每天正午是以WWV短波為準,連續七天正午的記錄如下表:
14.教材設計請以 Elastic Collision-Bouncing Balls(超高彈力球)設計一維彈性碰撞的教案。教案設計參考資料: