所屬科目:教甄◆物理科專業
1. 如圖一所示,PQ 是一個質量忽略的平台,由一個輕彈簧支撐,彈簧的另一端固定在地面。一重物 m 從高處落下並黏在平台上,設整個過程中彈簧受力一直處於彈性限度內,此重物 m 在第一次降到最低點前,在什麼時候相對於地面的速度最大?(A) 重物 m 非常接近平台時 (B) 重物 m 落到平台但彈簧還未形變時 (C) 當彈簧被壓縮到最大限度時 (D) 當彈簧彈力等於重物的重力時
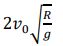
2. 如圖二所示,AB 為半圓形軌道,半徑為 R。一小球以初速度 Vo 沿水平地面向左運動,恰能沿軌道上行至頂點 B 而後飛出,則小球落地點離軌道下端 A 的距離為下列何者? (A)(B)(C)(D) 2R
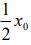
3. 圖三中,一質量為 m 的球繫於一彈力常數為 k 的鉛直彈簧上端,平衡時,彈簧被壓縮的距離x0。若將位於平衡點的球再下壓的距離,使球作鉛直振動,求球的最大速率為多少?(以m、g、k表示) (A)(B)(C)(D)
4. 一個人造衛星繞地球作橢圓運動,設地球密度均勻,半徑為 R,在地表的重力加速度為 g。人造衛星繞地球作橢圓運動時,近日點距地心 2R,遠日點距地心 6R,則近日點處的軌道速度量值為多少? (A)(B) (C)(D)
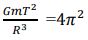
5. 如圖四所示,一雙星系統的兩星球,質量均為 m,在彼此的萬有引力作用下,繞系統質心作半徑為 R 的圓周運動。若每一星球的圓周週期為 T,則下列關係何者正確? (G 為重力常數) (A)(B)(C)(D)
6. 一容器裝有密度為 500kg/m3 的油層厚 0.20m 及密度為 1000 kg/m3的水層厚 0.30m。 一邊長為 0.10m 的正立方體,懸掛於一彈簧秤下並完全浸沒於水和油兩液體間,如圖五所示。在平衡狀態下,立方體有五分之一的體積在水裡,而彈簧秤顯示 0.05kgw, 試問立方體的質量為多少 kg? (A) 0.70 (B) 0.65 (C) 0.60 (D) 0.55
7. 一小球從頂樓以v0的初速度沿水平拋出,它落地時的速度大小為v,重力加速度為g, 不計空氣阻力,則小球在空中的運動時間為何? (A)(B)(C)(D)
8. 兩鉛直 A 和 B 光滑平面牆壁,兩牆壁相距 1.0m,在牆 A 距地面高 19.6m 處,以初速度 5.0m/s 沿水平方向投出一小球,如圖六所示,假設球與牆的碰撞為彈性碰撞(即入射角=反射角,碰撞前後速率相等),求小球落地前與牆碰撞幾次?(忽略空氣阻力、 取重力加速度 g = 9.8 m/s2) (A) 8 次 (B) 9 次 (C) 10 次 (D) 11 次
10. 均勻光滑球 A 放在平板 D 和鉛直牆之間,如圖七所示,D 的初始傾角略大於零,用 力 F 將平板右邊緩慢上提的過程中,下列敘述何者有誤? (A) A 對板的力增大 (B) A 對牆的力不變 (C) A 對板的力總大於 A 重 (D) A 對牆的力可能等於 A 重
11. 升降機自靜止開始以加速度 a 向上做等加速運動瞬間,升降機天花板上有一螺釘突然鬆動,若升降機天花板和地板相距為 h,則螺釘脫離後下列何者正確? (A) 螺釘經時間t = ,落到升降機地板上 (B) 螺釘經時間t=,落到升降機地板上 (C) 螺釘的加速度為g + a (D) 螺釘的加速度為g − a
12. 讓兩顆質量不同的彈性球在鉛直面進行一維碰撞運動。一個球較大較重,另外一個球則較小較輕,將小球放置在大球上,如圖八所示,做自由落體運動落下。大小球半徑分別為 R 和 r,質量分別為 M 與 m;當大球 M 的球心離地的高度為(H+R)時, 小球 m 緊貼在大球的頂端,兩球同時自靜止開始落下;假設大球碰撞堅硬地面反彈及兩球間碰撞皆為正向完全彈性碰撞,小球反彈後其球心離地最大高度為(2R + r +4H),則大球與小球的質量比值為多少?(A) 4 (B) 2.5 (C) 0.25 (D) 3
13. 一個圓環質量 m 靜止平躺在光滑平面上,如圖九所示,同質量 m 的小球與這個圓環作彈性碰撞,小球以初速度量值 v 與圓環 OP 線夾 30°作彈性碰撞,碰撞後小球與圓環速度量值各為何? (A)v,v (B)(C)(D)
14. 質量 M 的木塊放在粗糙的平面上,木塊和平面間的動摩擦係數為 μ。一顆質量 m 的子彈打入木塊時,子彈被埋入木塊,且滑行距離 S 才靜止,則子彈打入木塊瞬間的 速度為多少? (A)(B)(C)(D)
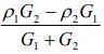
16. 一彈簧秤懸掛著一個金屬塊,將金屬塊沒入液體做秤重實驗,當金屬塊沒入密度為ρ1的液體中時,彈簧秤秤得重量為G1,當金屬塊沒入液體密度為ρ2的液體中時,彈簧秤秤得重量為G2,則此金屬塊的密度為何? (A)(B)(C)(D)
17. 在楊格雙狹縫實驗中,光屏和狹縫的距離 2.0m,兩狹縫間距為 0.05mm。將兩不同波長的單色光同時垂直照射雙狹縫,結果發現有均勻暗紋分佈,如圖十所示。圖中粗線為重疊暗紋,細線為單一暗紋,而重疊暗紋與其緊鄰的單一暗紋間的距離為1.4cm。已知此兩單色光,其中一波長為另一波長的整數倍。問此兩單色光的波長各為多少? (A) 1050nm,525nm (B) 700nm,175nm (C) 700nm,350nm (D) 1400nm,350nm
18. 一不帶電之中空金屬球殼外徑為 R,中心位於 O 點。今在球殼外距球心距離為 d 處放置一點電荷 – Q(Q>0),則金屬球上會產生感應電荷,如圖十一所示。所有感應電荷在球心 O 點處產生之電場其量值及方向為何?(A),方向向右 (B),方向向左 (C),方向向右 (D),方向向左
19. 在 x 軸上有一點電荷 Q 置於 x=a 處(Q 及 a 均為正值),另一點電荷Q 置於 x = –3a 處。設在無限遠處之電位為零,則下列敘述何者為正確? (A) 在 x 軸上,x =處電位為零 (B) 在 x 軸上,–3a < x < a 間電場均朝正 x 方向 (C) 在 y 軸上,y = 2a,處電位為正 (D) 在 y 軸上,y = a 處電場的 y 方向分量為零
21. 在 x 射線管中,由陰極發射的電子被加速後打到陽極,會產生包括 x 光在內的各種 能量的光子,能量的最大值等於電子的動能,已知陽極與陰極之間的電位差 U、普 朗克常數 h、電子電量 e 和光速 c,則可知該 x 射線管發出的 x 光的敘述何者正確? (A) 最短波長為(B) 最長波長為 (C) 最小頻率為 (D) 最大頻率為
22. 以一個?粒子撞擊鈹產生核反應:。它們的質量4He為4.0026a.m.u.,9Be 為 9.0122a.m.u.,為 l2.0000a.m.u.,中子 1n 為 1.0087a.m.u.。則反應後與中子之動能總和比α粒子之入射動能約多出多少焦耳?(1a.m.u.=公斤) (A)(B)(C)(D) 104
23. 將一自由電子由靜止開始加速,若要此電子其物質波波長小於 0.20nm,則下列選項中,何者最接近所需的最小加速電壓為多少? (A) 38 伏特 (B) 28 伏特 (C) 18 伏特 (D) 8 伏特
24. 設一質點在 X 軸上做簡諧運動,其位移與時間之關係式為 y = 3 sin,各量之 單位為 MKS 制。試問此質點之初始速度為多少? (A)(B)(C)(D)
26.金屬棒在 0℃時密度為 D0,在 t℃時密度為 Dt,則該金屬的面膨脹係數為何? (A)(B)(C) (D)
27.設雨滴在空中運動時,所受空氣阻力與其速率的平方成正比,故從高空中落下之雨滴,在其落至地面前均已達終端速度。若有質量分別爲m1、m2的兩個雨滴從高空中 落下,則當它們做等速直線運動時,重力對兩個雨滴做功的功率之比為何? (A) m1:m2 (B) m2:m1 (C)(D)
28.如圖十二所示,若 R1 =100 Ω, R2 =R3 =50Ω ,R4 =75 Ω,ε= 6.0V ,設電池內電阻為零,試問流經電阻 R4 的電流為多少安培? (A)(B)(C)(D)
29.設太陽質量為M,一行星質量為 m,以橢圓軌道繞太陽運行。已知行星距太陽最近之距離為 r,最遠之距離為 3r。試求此行星在遠日點之脫離速率為多少? (A)(B)(C) (D)
33.把一均勻橫截面積的試管,以開口向下鉛直插入水中,放掉部分空氣後鬆手,試管就筆直的浮在水中,如圖十三所示。假設試管質量為 50g,橫截面積為 2cm2,露出水面部分的長度為 1cm,大氣壓P0為 105 N/m2,管壁厚度及管內空氣質量均可忽略不計,則試管內外水面的高度差 H 為多少公分?(A) 10 (B) 15 (C) 20 (D) 25
34.如圖十四所示,一均勻繩子,其質量 m,長度為 L,跨過釘在牆上的光滑釘子兩邊後放置,今若將 A 端拉下少許,讓 A 端漸漸滑下至 B 端離開釘子瞬間時,繩的速度量值為何? (A)(B)(C)(D)
35.兩點電荷Q1為+4Q 庫倫,Q2為+9Q 庫倫,兩電荷相距 5m 固定不動,現將一點電荷 +q 庫倫,置於兩電荷連線上,距 Q1 為 1m 處之 A 點,由靜止釋放,如圖十五所示, 則此電荷之最大動能為何? (A)(B)(C)(D)
37.取兩個喇叭口相互面對,且相距 8 m。兩喇叭同時放出同相位、同頻率的聲波。如圖十六(a) 所示。一偵測器 D 於兩喇叭之間偵測到聲音的強度 I 如圖十六(b)所示。 若 x 為偵測器與左喇叭的距離,則此聲波之波長最接近下列何者? (A)m (B)m (C) 1 m (D) 2 m
39. 某一太空船的太空人在準備出艙進行太空漫步時,意外發現艙門很難打開,有人臆測這可能與光壓有關。已知光子的動量 p、能量 E 與光速 c 的關係為 E=pc,假設艙門的面積為 1.0 m2,每平方公尺的艙門上每秒入射的光子能量為 1.5 kJ,則艙門因反射光子而承受的力,最大約為多少 N ? (A)(B)(C)(D)
40. 甲、乙兩物體分別受定力 F1、F2 作用而做直線運動,其動量 p 與時間 t 的關係如圖十七所示,則在 t 秒內,甲、乙兩物體所受定力量值 F1、F2 與衝量量值 J1、J2 之關係為何?(A) F1=F2,J1>J2 (B) F1<F2,J1=J2 (C) F1>F2,J1<J2 (D) F1>F2,J1>J2