所屬科目:教甄◆數學
一、填充題1. 若 x² - 3x + 1 = 0, 求= ______
2. 設 k 為固定的實數。已知的最大值為, 求的最小值 = ______
3. 在直角坐標空間中, 若三個平面E1: x - 2y + z = 0, E2: x + y - 2z = 0, E3: 2x - y - z = 12 及兩個平行的平面 F1: x + y + z = 0, F2: x + y + z = k 圍出一個體積為 30 的三角柱 (如圖所示), 求 k = ______
4. 在直角坐標平面上, 圓 x² + y² = 1 被A=變換為曲線 Γ, 求 Γ 的方程式為 ______
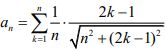
5. 設, 求= ______
7. 若實數 a, b, c 滿足= 1, 則 a + b + c = ______
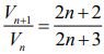
8. 設 a1= 7, 且對於大於 1 的正整數 n, 皆滿足, 求無窮級數和= ______
二、計算證明題 1. 設正整數 n ≥ 3。化簡 (10 分)
(2) 試證: (9 分)
3. 設 x ∈ R, 且 y =, 試求 y 值的範圍。 (10 分)
4. 為圓 x² + y² = 37 上的一弦, 若點 P(1, 2) 在上, 且剛好為的其中一個三等分點, 試求直線 AB 的方程式。 (10 分)