所屬科目:教甄◆數學
1.已知實數xy,滿足log2(x+1)log(x+1)=4以及xy-x-y=−1,則x+y之值為__________。
2.有8位數學系學生(座號分別為1到8)及5位物理系學生(座號分別為9到13)。若將這13人分成無次序之分的兩組,任兩位座號相鄰的物理系學生不能分到同一組,且兩組之間,數學系學生的人數差不超過2,則總共有__________種不同的分組方式。
3.已知f(x)=x4-6x2+ax+(5-a)有三重根,則實數a的所有可能值為__________。
4.在複數平面上所有滿足不等式2|z|<|z-1|,且實部大於0的點所形成的圖形,其面積為__________。
5.將6顆編號1至6的球分別放進四個盒子,編號1的球放進第一個盒子,編號2和編號3的球放進第二個盒子,編號4和編號5的球放進第三個盒子,編號6的球放進第四個盒子。若重複隨機抽取一個盒子(每個盒子被抽到的機率均等),再從這個盒中隨機抽取一顆球(每顆球被抽到的機率均等)。進行兩次這樣的試驗,則過程中看到不同編號球之數量期望值為__________(四捨五入到小數點後第四位)。
6.若方程式x5+x2+1=0之五根為r1,r2,r3,r4,r5,令P(x)=x2-−2,則P(r1)P(r2)P(r3)P(r4)P(r5)之值為__________。
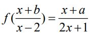
7.已知函數f在其定義域中滿足,對所有x≠2及x≠都成立,其中ab,為常數。若,則a+b=_________。
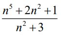
8.已知為整數,則所有可能的整數n為__________。
9.將1、2、3、4、5、6、7這七個數字作適當的排列,使得相鄰兩數之和為質數。求共有__________種排列方式。
10.無窮級數之值為__________。
二、計算題:1.已知,考慮所有滿足=2025的正整數n,m,求n-m的最大值。
2.已知對任意的正實數a1,a2,...,,滿足下列不等式恆成立:,求n的最大值。
3.設P是三角形ABC內一點,滿足∠PAB=∠PCA=∠PCA。設D,E,F分別是P到三邊的垂足。試證:三角形DEF與三角形ABC相似。