所屬科目:警專◆物理
1. 力矩是描述作用力促使物體繞著某參考點轉動狀態變化的物理量,則依照 SI 制,力矩的單位為下列何者? (A) kg•m/s 2 (B) kg•m2/s 2 (C) kg•m2/s (D) kg 2•m2/s
2. 今有兩輛跑車並行競速,A 跑車以 180 km/h 行駛,B 跑車以 108 km/h 行駛。當 A 車與終點的距離為 D,且 B 車於 A 車後方距離 d 時,開始以等加速 100 m/s2 追逐等速率行駛的 A 車,並與 A 車同時到達終點。已知 D 與 d 的比值為 4,則 B 車通過終點時的速率為多少 m/s? (A) 80 (B) 95 (C) 110 (D) 125
3. 一輛汽車在筆直水平路面上行駛,遇紅燈而停,t = 0 s 為綠燈亮起,車由靜止開始前進,由此時刻到 t = 50 s 的期間,汽車加速度 a 與時間 t 的關係如圖所示,則下列關於此汽車運動的敘述,何者正確?
(A)汽車在 0 到 15 s 間作等加速度運動 (B)汽車在 15 到 30 s 間靜止不動 (C)汽車在 t = 50 s 時位置與 t = 0 s 時相同 (D)汽車在 0 到 15 s 間及 30 到 50 s 間運動方向相反
4. 一物體做水平拋射初速為 20 m/s,當其切線加速度為時,已知重力加速度量值為 10 m/s2,則此物落下距離為多少 m? (A) 40 (B) 50 (C) 60 (D) 70
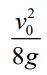
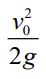
5. 以初速 v0,仰角 45°拋出一球,若不計空氣阻力,重力加速度量值為 g,則此球可以達到的最大高度為下列何者? (A) (B) (C) (D)
6. 三普重量為 100 kgw,從一最大張力為 80 kgw 的繩子滑下。已知重力加速度量值為 10m/s2,欲使繩子不致斷裂,則三普的加速度量值至少為多少 m/s2? (A) 2 (B) 4 (C) 6 (D) 8
7. 一條緊繃的輸送帶,始終保持以 v=2 m/s 的等速水平移動,如圖所示。若質量 1 kg 的物體,以初速為零放在皮帶 A 點,物與皮帶間動摩擦係數為 0.2,靜摩擦係數 0.3,A、B 間距離為 6 m,已知重力加速度量值為 10 m/s2,則物體從 A 到 B 需時為多少 s?(A) 1.5 (B) 2.5 (C) 3.5 (D) 4.5
8. 火車轉彎處的鐵軌外側較內側高,某彎道是設計給車速 72 km/h,不利用摩擦力轉彎使用,若轉彎的曲率半徑為 200 m,已知重力加速度量值為 10 m/s2,軌道內外軌水平距離 1m,則外軌應較內軌高約多少 cm? (A) 10 (B) 20 (C) 30 (D) 40
9. 某行星繞太陽公轉,其軌道如圖所示,近日點 C 與遠日點 A 到太陽的距離比為 1:4,則下列敘述何者正確? (A)行星的速率 vC<vA (B)行星的角速率ωC<ωA (C)行星由 A 繞至 B 點與由 B 繞至 C 點時間相同 (D)行星由 C 繞至 D 點時間小於由 D 繞至 A 點時間
10. 一質量為 8 kg 的物體在距地面高度 30 m 處由靜止爆炸,爆炸瞬間分裂為兩碎片,且同時沿鉛直方向飛離。在爆炸後 2 s 時,其中一碎片恰落地,而另一碎片尚離地面 20 m 高,已知重力加速度量值為 10 m/s2,若不計爆炸而損失的質量與各種阻力,則爆炸後先落地的碎片質量為多少 kg?(A) 3 (B) 4 (C) 5 (D) 6
11. 一質量 5 kg 的木塊由固定斜面的底部以初速度 5 m/s 上升至頂端,斜面傾斜角 30°,斜面與木塊間動摩擦係數 0.4,試問自底部到頂端過程中,「重力作功」與「摩擦力作功」絕對值之比為下列何者? (A) (B)(C)(D)
12. 一火箭以速率 v 從地面發射,最高可到達距地心 5Re(Re 為地球半徑)處而停止爬升,若不考慮地球自轉,欲使其完全脫離地球束縛,則火箭從地面發射速率為下列何者? (A)(B) (C) 2v (D) 3v
13. 如右圖,絕熱密閉容器分為甲、乙二室,容積分別為 2V 與 V,中間以體積可忽略的細管相連並以活栓控制,活栓關閉時,甲室有壓力為 3P 之單原子理想氣體 2n 莫耳,乙室有壓力為 2P 之同種氣體 n 莫耳,則甲、乙兩室之理想氣體總動能比為下列何者? (A) 3:1 (B) 3:2 (C) 2:1 (D) 1:2
14. 一弦線的一端固定,另一端則以一很輕的小環套在一細長且光滑的棒上。環的質量可以不計;弦在靜止時與細棒垂直。若弦的長度為 0.5 m,線密度為 0.01 kg/m,弦振動的基頻為 100 Hz,則弦的張力為多少 N? (A) 400 (B) 200 (C) 120 (D) 80
15. 下列有關都卜勒效應的敘述何者錯誤?(A)觀測者與波源相互遠離時,觀測到的波長會增大 (B)觀測者與波源相互接近時,觀測到的波速會增加(C)觀測者與波源相互遠離時,觀測到的頻率會減小 (D)觀測者與波源相互接近時,觀測到的波長會增大
16. 某生作單狹縫繞射實驗,使用 0.1 mm 縫寬之單狹縫片,距此單狹縫 2.0 m 處有一光屏;若使用紅光雷射進行此實驗,可測得中央亮帶之寬度為 2.6 cm,則入射光之波長為多少 nm? (A) 450 (B) 550 (C) 650 (D) 750
17. 如圖所示三塊平行且面積相同的金屬板 A、B 和 C,A、B 兩極板相距 4.0 mm,A、C 兩極板 相距 2.0 mm,B、C 兩板都接地。如果 A 板帶電 3.0✖10-7 C 的正電荷,邊緣效應不計,則 下列何者正確? (A) B 板帶電量 2.0✖10-7 C (B) B 板帶電量-1.0✖10-7 C (C) C 板帶電量-1.0✖10-7 C (D) C 板帶電量-1.5✖10-7 C
18. 一個射入均勻磁場的電子,其速度垂直於磁場方向,在磁場中作圓周運動,半徑為 R。如果入射的動量 增加為原來動量的 4 倍,以原來的方向進入磁場,其圓周運動的半徑變為下列何者? (A) R (B) 2R (C) 3R (D) 4R
19. 一隨時間變化的均勻磁場,垂直通過一半徑為 0.2 m、100 匝的圓形線圈。若磁場量值 B 與時間 t 的變化關係為 B(t)=t+2 T,則線圈的感應電動勢量值為多少 V? (A) 2π (B) 4π (C) 6π (D) 8π
20. 若用 400 nm 的單色光來照射某金屬材料使其產生光電效應,金屬表面產生光電子的最大動能為 1.1 eV,則此金屬的功函數約為多少 eV? (A) 0.5 (B) 1.0 (C) 2.0 (D) 3.0
21. 加熱硝酸銅使其分解,此反應式表示如右:2 Cu(NO3)2(s)2 CuO(s)+n X(g)+O2(g) (已平衡係數)上列反應式中, n 為氣體 X 的係數且為整數,則 X 應是下列哪一個物質?(A) NO (B) N2O (C) NO2 (D) N2O5
22. 密閉容器內裝有一理想氣體,當加熱使其溫度上升但是容器體積維持不變,則下列敘述何者正確?(A)氣體分子的平均動能增加 (B)氣體分子個數增加 (C)氣體的重量增加 (D)氣體的 PV 乘積不變
23. 已知 A、B、C 為三種純物質,它們可能是水、乙醇或乙醚。A、B、C 三者的蒸氣壓與溫度的關係圖如右所示,則下列各項敘述或比較,何者正確?(A)正常沸點:A>B>C (B)在正常沸點時的蒸氣壓:A>B>C(C)分子間引力:C>B>A (D) A 應為乙醇,B 應為乙醚,C 應為水
24. 已知主量子數以 n 表示,氫原子的電子進行下列(甲)~(丁)四種不同的能階轉移:(甲) n=7→ n=4 (乙) n=5→ n=3 (丙) n=4→ n=2 (丁) n=2→ n=1有關(甲)~(丁)之電子躍遷所放出光的頻率大小,下列何者正確?(A)甲>乙>丙>丁 (B)丁>丙>乙>甲 (C)甲>乙=丙>丁 (D) 丁>丙>乙=甲
25. 將週期表中原子序 35 的元素標記為 X,則下列有關 X 的敘述,何者正確?(A) X 位於 IIIA 族 (B) X 位於第五週期 (C) X 易形成陽離子 (D) X 與碳結合的化學式為 CX4
26. 下列各選項中,哪一組化合物全部都是分子化合物,且其水溶液均可導電?(A) C2H5OH、NH4Cl、H2S (B) CH3COOH、CO2、NH3(C) KCl、H2SO4、MgO (D) C6H12O6、NH3、CH4
27. 生活中某些物質的性質或是現象可能都與氫鍵有關,下列哪一項敘述是與氫鍵沒有關係的?(A)去氧核醣核酸的結構呈雙股螺旋狀 (B)純水結成冰塊時,體積會變大(C)常溫下動物性脂肪多為固態,如豬油 (D)甘油(丙三醇)具有很好的保濕性
28. 定溫下,反應:A(aq)+3 B(aq) ⇌2 C(aq) 達到平衡時,下列各項敘述何者正確?(A)平衡時,A、B、C 三者的濃度皆維持不變(B)平衡時,A、B、C 三者的莫耳數比為 1:3:2(C)平衡時,A 的消耗速率=B 的消耗速率=C 的生成速率(D)加入水使平衡向左,達新平衡時,A 的濃度會大於原平衡濃度
29. 同一溫度時,下列各種難溶性的碳酸鹽類,何者在水中的溶解度最高? (A) CdCO3,Ksp=6.2×10-12 (B) BaCO3,Ksp=2.6×10 -9 (C) CaCO3,Ksp=5.0×10-9 (D) MgCO3,Ksp=6.8×10-6
30. 對於一般反應而言,下列哪一項不屬於催化劑的功能?(A)可使反應速率變快 (B)參與反應且改變反應途徑 (C)不改變反應平衡常數 (D)降低活化能與反應熱
31. 某一單質子酸以 HA 表之,且其鈉鹽以 NaA 表示。已知在 25℃下,0.1 M NaA 水溶液的 pH 值為 10,則其共軛酸 HA 的 Ka 值應為若干? (A) 1.0×10-8 (B) 1.0×10-7 (C) 1.0×10-5 (D) 1.0×10-4
32. 已知下列兩個反應均有利於向右方進行:HSO4-(aq)+CH3COO-(aq) ⇌ SO42-(aq)+CH3COOH(aq)CH3COOH(aq)+HS-(aq) ⇌ H2S(aq)+CH3COO-(aq)定溫下,相同濃度的(甲) CH3COOH;(乙) NaHSO4;(丙) H2S 三溶液,其中的[H+]大小順序為何?(A) (甲)>(乙)>(丙) (B) (丙)>(甲)>(乙) (C) (乙)>(甲)>(丙) (D) (甲)>(丙)>(乙)
33. 認定酒醉駕車的標準是依據呼氣中的酒精含量來測定。下列哪一種溶液最適合用來檢測酒精?(A) K2Cr2O7的酸性溶液 (B) AgNO3 的氨溶液 (C) CuSO4 和檸檬酸鈉的鹼性溶液 (D) FeCl3 的酸性溶液
34. 下列有關各選項化合物中該元素的氧化數敘述,何者正確?(A) [Ni(CO)4]中的 Ni 之氧化數為 0 (B) H2SO5 中的 S 之氧化數為+8(C) OF2 中的 O 之氧化數為-2 (D) C2H5OH 中兩個 C 的氧化數皆為-2
35. 使用 0.01 M KMnO4(aq)滴定體積 20.0 mL 的 Fe 2 +酸性溶液。反應過程中,KMnO4(aq)褪色成為 Mn2+、 Fe2+被氧化成 Fe3+;達到滴定終點共消耗 20 mL KMnO4(aq),則此 Fe 2+溶液的濃度為若干 M? (A) 0.10 (B) 0.08 (C) 0.05 (D) 0.02
36. 下列各組都有兩個化合物,哪一組化合物為同分異構物中的結構異構物? (A) (B)(C) (D)
37. 安非他命原本是作為中樞神經刺激的藥劑,卻被濫用成為毒品。它的結構如右圖,有關此化合物的各項性質敘述,下列何者正確? (A)使用藍色石蕊試紙檢測安非他命會變成紅色 (B)安非他命屬於一級胺 (C)安非他命無法使酸性環境下的 KMnO4 褪色 (D)加入 FeCl3(aq)會呈紫色
38. 下列為各項有機化合物性質的敘述,何者正確?(A)丙三醇名稱中的「三」是指三級醇的意思 (B)浸泡動物標本的福馬林是 37%的甲醛水溶液(C)甲胺與甲醯胺是不同官能基的同分異構物 (D)常見的代糖「阿斯巴丹」是屬於甜度較低的單醣
39. 下列哪一組溶液在混合或操作後,最終的溶液仍可作為緩衝溶液?(A) 0.2 M、50 mL 之 HCl(aq)+0.2 M、50 mL 之 NH3(aq)(B) 0.2 M、1 升之 CH3COONa(aq)+0.2 M、1 升之 HCl(aq)(C)在 0.1 M CH3COOH 和 0.1 M CH3COONa 的混合溶液 10 mL 中,再加入 0.1 M、5 mL HCl(aq)(D)在 0.1 M CH3COOH 和 0.1 M CH3COONa 的混合溶液 10 mL 中,再加入 0.2 毫莫耳的 NaOH(s)
40. 在 1atm、25℃下,取某烴類 10 mL 與過量氧氣 70 mL 混合,點火使其完全燃燒後,降至室溫 25℃,此時同壓下的混合氣體體積為 50 mL;將此混合氣體通過 NaOH 管吸收CO2後,剩下 20 mL 不可燃的氣體, 則此烴類可能為下列何者? (A)正丁烷 (B)丙烷 (C)苯 (D)正戊烷