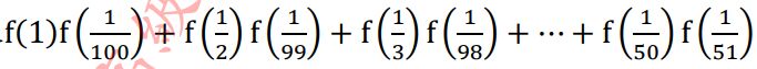
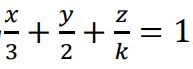
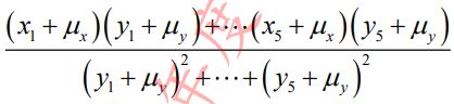
2、有 5 筆二維數據 ( x1, y1 ) 、( x2, y2 ) 、…、( x5, y5 ) 。已知的統計資料如下:
x1+x2+...+x5=15 ,y1+y2+...+y5=10
x12+x22+...+x52=102,y12+y22+...+y52=40
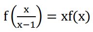
若小高在求 y 對 x 的迴歸直線方程式 y mx b = + 時,誤將迴歸直線的斜率公式記為
,其中
為數據 X、Y 的算術平 均數。在其他的計算均無錯誤下,小高計算出的迴歸直線方程式為
。試問針對這 5 筆數據求 y 對 x 的迴歸直線方程式,正確的斜率 m 應該為________