所屬科目:教甄◆數學
1. 在 △ABC 中,=5,I 為 ABC 的內心, P 為 △IBC (包括邊界)內的一點,若 ( α,β∈R ) ,則α +β 的最小值為______________。
2. 分別執行 A、B 兩個伯努利試驗(Bernoulli trial),每次成功機率依序分別為a、b。若各執行n次,得 A 的成功次數期望值恰為 B 的5倍、A 的成功次數標準差恰為 B 的2倍,求(a, b) =_______。
3. 坐標平面上有一平行四邊形 Γ,其中兩邊所在的直線與 5x − 2y = 0平 行 、 另兩邊所在的直線與 8x − 7y = 0垂直。令Γ的兩對角線交點為 Q。已知 Γ有一頂點 P,滿足= − (5, 1) , 則Γ的面積為_________。
4. 在空間中,6個平面E1:2x + y + z = 0、E2:2x + y + z = 1、E3:x + 2y + z = 0、?4:? + 2? + ? = 2、?5:? + ? + 2? = 1、?6:? + ? + 2? = 3 所圍成的平行六面體體積為________ 。
5. 甲乙兩人比賽桌球,約定比賽進行到打滿 6 局或有一人比另一人多贏 2 局時,比賽即終止。設每局均無 平局,已知甲在每局中獲勝的機率均為,且各局勝負互不影響。求比賽結束時,已賽局數的期望值 為________ 。
6. 設函數 y= 的最大值為 M ,最小值為 m ,則 M m− = ______________。
7. 設x為正數,已知f(x) = x 2 + 2x + 3 + ,求f(x)最小值為____________。
8. 坐標平面上,有一P點先以原點?為中心逆時針旋轉 70°,再對直線L:( − 1)x − ( + 1)y = 0做鏡 射,其結果相當於P點直接對於直線M:y = (tan?)x做鏡射,其中0 ° ≤θ≤ 180°,求θ之度數為 ________。
9. 在數列 〈an〉 中,當 1 ≤n≤5 時,an= n2 ,且對所有正整數 n , an+5+an+1= an+4+an均成立,則a2031 = _____。
10. 設x為實數,試解2 x+4 x + 8 x = 39,x = ______________。
1. 請問數列中共有_________個相異整數。
2. 已知 a,b是正實數,若方程式 x2+2ax+16b=0 和x2+2bx+2a=0均有實數根,則a2+b2 的最小值為______。
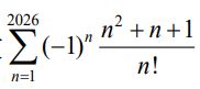
3. 試求級數 之值為_________。
4. 設複數 z 滿足,則 |z |= ______________。
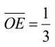
5. 右圖是一張圓形的紙張,半徑為 1,圓心為 O , 是直徑,是垂直的半徑, E 是 上一點滿足,沿某條折線 對摺,使得弧 AD 上某一點與 E 重合。 則 tan∠ OAD= _________。