所屬科目:教甄◆數學
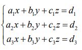
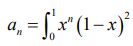
1.方程組 , 令。 試證:若方程組之幾何意義為「三平面兩兩相交於一直線,且三直線互相平行」, 則 △= 0 且△x 、 △y、△ z 至少有一不為 0。 (6 分)
2. 針對本題:「 f (x) 是一個多項式函數, deg f(x) =1 ,1 ≤f(1) ≤4 ,− 2 ≤f(2)≤ 7,求 f (3) 之範圍」。 請用兩種不同解法,求出本題的正確答案。(8 分)
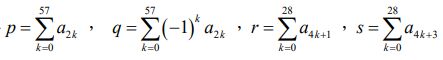
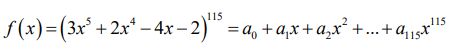
3. 已知. 若,試求數對 ( p,q,r,s)。(8 分)
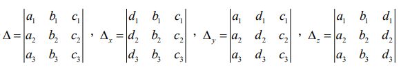
4. dx,n = 1,2,3,... ,試求(1) (2) 。 (6 分)
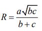
5. 已知三角形 ABC 的三邊長分別為 a,b,c ,且其外接圓半徑, 求此三角形三內角的餘弦值之和=? (6 分)
6. 直角△ABC 中, ∠BAC= 90o ,今上一點 D 滿足 ∠ABC=2∠ACD且=1, 求 △BCD 面積=? (6 分)
7. 設 f ( x) 和 g(x) 均為二次實係數多項式且 f (x) 的領導係數為 1,g(x) 的領導係數為 4, 若 ( f(x))2除以 g(x ) 的餘式為 ; (g(x))2除以 f(x ) 的餘式為 28x −40 ,求 f (x) ? = (6 分)
8. 有八個學生在雄中司令臺圍坐一圈,今每人同時丟擲一個公正的硬幣一次(即出現正面和反面的機率皆為 ),試求沒有任相鄰二人皆擲出反面的機率=? (6 分)
9. 空間中, S 為以 P(1,0,0) 為球心,半徑為 1 的球面,若 Q ( a,b,c) 為球面 S 上的動點,滿足 a>1, b>0, c >0 ,若過 Q 且與球面 S 相切的平面 E ,分別與 x 軸、 y 軸、 z 軸交於點 A ,B ,C,試求 △ABC 的最小面積=? (6 分)
10. 設 a>0,f (x)=x3+ax2-a2 x 圖形為Γ,若 f (x ) 在 x=b有極小值,求過點 (b , f( b )) 且 與 Γ相切的切線與Γ所圍成的區域面積=? (以 a 表示) (6 分)
11. 求出所有的正整數 n,使得 是一個完全平方數。 (6 分)
12. 空間坐標中,點 (x, y, z),滿足 x, y, z 皆為整數的點,稱為格子點。已知四面體 OABC 的四個頂點為 O(0,0,0),A(10,20,30),B(20,20,30),C(30,10,10),則在四面體 OABC 的內部或邊界上,有多少個格子點? (6 分)
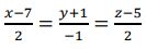
13. 空間坐標中,A,B 兩點在某直線 L 的投影分別為 C,D。已知= 6, 且兩直線方程式分別為 AC:與 BD: , 試求 的長度=? (8 分)
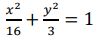
14. 坐標平面上,已知O為原點,矩形 OABC 的三個頂點 A, B, C 均在橢圓,試求矩形 OABC 的面積=? (8 分)
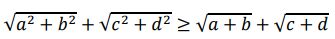
15. 設 a, b, c, d 為正實數且滿足 abcd = 1。 試證明:(8 分)