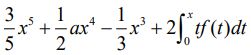
2.數學老師在數學課時,請同學上台解下列題目:「已知空間坐標系中有A(3 5,4, 3) 、B(2,3,1)兩點,動點 P 在 x 軸上,動點Q 在 y 軸上,求
的最小值?」。
某位同學的解題想法如下:「將 A 點轉換成 xy 平面上的點A'(3√5,5,0) ,B 點轉換成 xy 平面上的點B'( √5,3,0),再使用二維空間的算法:即為『坐標平面上有
A''(3√5,5) 、B''( √5,3) 、x 軸上動點 P’、y 軸上動點 Q’,求
的最小值?」。
請說明該位同學解題想法在空間中的幾何意義及可以這樣作的原因,並求出原題目的最小值及 P、Q 座標。