所屬科目:教甄◆數學
1. 設實數α、β滿足 log α³+3α-6=0,10β+1+10β-20=0,則α+β的值為________。
2. 坐標平面上點A(3,-1)及圓C:(x+1)²+(y-2)²=5。過點A作圓C的切線,其中點P為切點,若點Q為圓C上的動點,則向量內積的最大值為________。
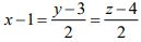
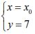
3. 在坐標空間中,設Γ:,Λ:{(x,y,z)|x=4, y=k},動點P,Q分別在Γ和Λ的圖形上,已知的中點軌跡方程式為,若長的最小值為m,則x₀+k+m=________。
4. 五位同學圍成一圈依序循環報數,規定:①第一位同學首次報出的數為1。第二位同學首次報出的數也為1,之後每位同學所報出的數都是前兩位同學所報出的數之和;②若報出的數為3的倍數,則報該數的同學需拍手一次。求當第30個數被報出時,五位同學拍手的總次數為________。
5. 設f(x)=x³+4x²+x-6, g(x)=2x³+(k-2)x²+kx-2k, k∈R,已知方程式(f(x))²+(g(x))²=0有兩個相異實根α,β,求k+α+β=________。
6. 在坐標空間中,兩歪斜線L₁和L₂分別在兩平行平面E₁:x+2y+2z=7和E₂:x+2y+2z=16上,設點A,B在L₁上,點C,D在L₂上,且垂直E₁和E₂。若,則直線L₁和L₂方向向量夾角的正弦值為________。
7. 試求方程式:2x²-4=的實根為________。
8. 如右圖所示,有一直圓錐面,高為,底部圓面積為π,圓錐頂點O與底面圓周上一點A,中點為B,今有一隻螞蟻從A點出發,沿著圓錐表面爬行兩圈後到達B點,求螞蟻爬行的最短距離為________。
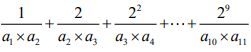
9. 空間中L₁:與L₂:為一正立方體某兩邊所在的直線方程式。則此正立方體的體積為________。
10. 正七邊形ABCDEFG內接於一單位圓,則線段長乘積為________。
11. 圓上有四點A,B,C,D,已知兩弦,設=2,=3,則此圓面積為________。
12. 等軸雙曲線x²-y²=8的中心為O,兩焦點F₁,F₂,點P在此雙曲線上,若=9,則線段乘積=________。
13. 如附圖之蜂房結構,每兩個相鄰的蜂房間都有一通道,一隻蜜蜂從蜂房A出發,想爬到第10號蜂房,但不許反向倒走(即蜂房號碼不可愈走愈小),則共有________種走法?
14. 設數列{aₙ}滿足aₙ₊₁=aₙ+2ⁿ,且a₁=1,則=________。
二、計算證明題1. 實驗室中有n個砝碼,重量分別為a₁,a₂,...,aₙ。已知從中任取兩個砝碼秤重的重量和為Aᵢ,所有Aᵢ的總和為k克;從中任取三個砝碼秤重的重量和為Bᵢ,所有Bᵢ的總和為2k克。若已知這些砝碼重量滿足a₁²+a₂²+a₃²+...+aₙ²的最小值為2400,試求k的值。
(1) 邊上的高=?(3分)
(2) 在邊上取一動點P、在邊上取一動點Q,則△PQH周長的最小值為?(7分)
(1)證明對任意實數a,有。(5分)
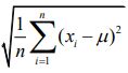
(2)設此組資料的標準差為σ=,利用(1)證明σ≤。(5分)