所屬科目:高中(學測,指考)◆數學
2. 下列五個數中,何者為最小? (A) (B) (C) (D) (E)
3. 圖一為一正立方體,A,B,C分別為所在的邊之中點,通過A,B,C三點的平面與此立方體表面相截,問下列何者為其截痕的形狀?(A)直角三角形 (B)非直角的三角形 (C)正方形 (D)非正方形的長方形 (E)六邊形
貳、多重選擇題4. 設ΔABC的三頂點A,B,C所對邊的邊長分別為a,b,c, 為高,則 之長為 (A)b•sinB (B)c•sinC (C)b•sinC (D)c•sinB (E)a•sinA
5. 試選出正確的選項: (A) 不是有理數 (B) (C) (D) (E)
7. 關於橢圓 ,下列何者為真? (A) (0,0)是的中心 (B)(1,2),(-1,-2)為的焦點 (C)的短軸為4 (D)對稱於直線x=y (E)對稱於(-1,-2) 與 的連線
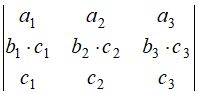
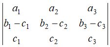
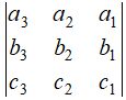
8. 下列各選項中的行列式,那些與行列式 相等? (A) (B) (C) (D) (E)
10. 圖二為一正立方體,試問下列何者為真? (A) (B) (C) (D) (E)
第二部分:填充題 11. 一個正三角形的面積為36,今截去三個角(如圖三),使成為正六邊形,此正六邊形的面積為 。
14. 設0<θ< ,且 為x2 -(tanθ+cotθ)x+1=0的一根,則 tanθ = 。
16. 在△ABC中,已知∠C=60°, 公尺, 公尺,則∠A為 度。(度以下四捨五入) (參考資料: )
18. 有一片長方形牆壁,尺寸為12✕1(即:長12單位長,寬1單位長)。若有許多白色及咖啡色壁磚,白色壁磚尺寸為2✕1,咖啡色壁磚尺寸為4✕1,用這些壁磚貼滿此長方形,問可貼成幾種不同的圖案? 種。