所屬科目:高中(學測,指考)◆數學
3. 下列圖形有一為雙曲線,請將它選出來。 (A) (B) (C) (D) (E)
4. 如圖所示,在坐標平面上,以原點(0,0)為頂點,且通過(2,2),(-2,2)的拋物線,它的焦點坐標為 (A) (0, 0.5) (B) (0, 1) (C) (0, 1.5) (D) (0, 2) (E) (0,4)
5. 九十年度大學學科能力測驗有12萬名考生,各學科成績採用15級分,數學學科能力測驗成績分佈圖如下圖。請問有多少考生的數學成績級分高於11級分?選出最接近的數目。 (A) 4000人 (B) 10000人 (C) 15000人 (D) 20000人 (E) 32000人
6. 如圖△ABC中,BC邊上兩點D、E分別與A連線。假設∠ACB=∠ADC=45° ,三角形ABC, ABD, ABE的外接圓直徑分別為c, d, e。試問下列何者為真? (A)c<e<d (B)d<e<c (C)e<c,d<c (D)d=c<e (E)d=c>e
8.設實數a,b滿足0<a<1,0<b<1,則下列選項那些必定為真?(A)0<a+b<2 (B)0<ab<1(C)-1<b-a<0(D)0<a/b<1(E)│a-b│<1
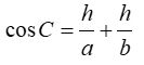
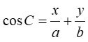
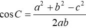
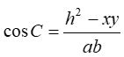
9. 如圖△ABC 的對邊分別為a,b,c,P為C點的垂足,h為高, BP=x, AP=y,則下列選項哪些必定為真? (A) (B) (C) cosC=cos(A+B) (D) (E)
11. 函數 ,x為實數。則下列選項哪些為真? (A)f(x)=sin11xsinx 恒成立 (B)|f(x)| ≤ 1恒成立 (C) f(x) 的最大值是1 (D)f(x) 的最小值是-1 (E)f(x)=0 的解有無窮多個
14. 令複數 且, 則實數a = 。
16. 在平面上有一正方形ABCD, AB、BC、CD、DA的延長線分別交直線L於P、Q、R、S。 已知PR=3、QS=4,則正方形ABCD的邊長為 。
18. 如右圖各小方格為1cm2的正方形。 試問圖中大大小小的正方形共有多少個? 答: 個。