所屬科目:高中(學測,指考)◆數學
2. 如下圖,OABCDE為坐標平面上一正六邊形,其中O為原點,A點坐標為(2,0) , 則向量 之坐標表法為 (A) (B) (C) (D)(E)
6. 設坐標空間的原點為O , 點P的坐標為(3,4,7) 。若Q點在xy -平面上移動,問Q點為下列選項中哪一點時, ∠POQ最小? (A)(3,3,0) (B)(3,4,0) (C)(4,3,0) (D)(5,12,0) (E)(12,5,0)
7. 如下圖,複數z在平面上對應的點P在單位圓O的外部,問複數 對應的點大概是哪一點? (A) A (B) B (C) C (D) D (E) E
9. 已知坐標平面上一拋物線C 之對稱軸與坐標軸平行,且C通過(-1,6) 與(3,6) 兩點,試問下列哪些敘述是正確的? (A) C與x-軸必相交; (B) C與y-軸必相交; (C) 如果C通過(2,5) ,則可找到實數r≠2而C也通過(r,5) ; (D) 如果C通過(4,8) ,則可找到實數s≠8而C也通過(4,s) ; (E) 如果C通過(0,3) ,則C的頂點之y-坐標為2。
10. 關於三次多項式f(x)=x3-6x2+1 ,試問下列哪些敘述是正確的? (A)f(x)=0 有實根落在0與1之間; (B)f(x)=0 有實根大於1; (C)f(x)=0 有實根小於-1 (D)f(x)=0 有實根也有虛根; (E)f(x)=10 有實數解。
12. 九十一學年度指定科目考試約有5萬4千名考生報考「數學甲」,考生得分情形(由低至高)如下表,第一列為得分範圍(均含下限不含上限),第二列為得分在該區間之人數佔全體考生之百分比。 試問下列有關該次考試考生得分之敘述有哪些是正確的? (A) 全體考生得分之中位數在40分(含)與50分(不含)之間; (B) 全體考生得分(由低至高)之第一四分位數在20分(含)與30分(不含)之間; (C) 全體考生得分(由低至高)之第三四分位數在50分(含)與60分(不含)之間; (D) 不到三成的考生得分少於30分; (E) 如果將得分≧60分看成及格,則有四成以上的考生成績及格。
15. 解方程式 , 得x= 。
18. 設P為橢圓 上的一點且位在上半平面。若F1 、F2 為 之焦點, 且∠F1PF2 為直角,則P點的y-坐標為 。(化成最簡分數)
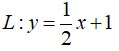
20. 在坐標平面上,一道光線通過原點O後,沿著y-軸射向直線 , 碰到直線L後,假設光線依光學原理(入射角等於反射角)反射後通過x-軸上的R點,則R點的x-坐標為 。 (化成最簡分數)