阿摩線上測驗
登入
首頁
>
統計學
> 96年 - 96 公務升官等考試_薦任_統計、經建行政、工業行政:統計學#50022
96年 - 96 公務升官等考試_薦任_統計、經建行政、工業行政:統計學#50022
科目:
統計學 |
年份:
96年 |
選擇題數:
0 |
申論題數:
12
試卷資訊
所屬科目:
統計學
選擇題 (0)
申論題 (12)
⑴若某一系統係由該種零件 3 個串聯而成(3 個中有 1 個壞,則壽命中止),假設 零件間彼此獨立作業,試求此系統壽命之機率分配(需註明分配名稱及其參數)。 (10 分)
⑵計算此電路系統壽命超過 1 小時之機率。(5 分)
⑶於⑴中,若將串聯改為並聯(3 個全壞,壽命才中止),則新系統壽命之機率分 配又如何。(10 分)
【已刪除】 ⑴試以動差法(method of moment)估計θ ,記為
,並驗證
具有不偏性。(10 分) ˆ ˆ ~
【已刪除】 ⑵試以最大概似法(Maximum likelihood estimator)估計θ ,記為
。(10 分)
⑴計算丈夫年所得的期望值 E(X)及變異數 V(X)。妻子年所得的 E(Y)及 V(Y)。(8 分)
⑵計算 X 與 Y 的相關係數 ρ
xy
。(7 分)
⑶今欲對各戶課徵所得稅,兩種課徵方式為:
T
1
= 0.2 (X + Y) T
2
= 0.3 (X + Y − 5)
則何種課徵方式使政府有較多稅收?(10 分)
⑴若欲作推論,則需對誤差項 ε i 作何種分配假設?(5 分)
⑵估計樣本迴歸線。(10 分) 12
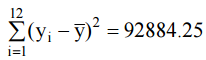
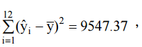
【已刪除】 ⑶令
為 y
i
之配適值(fitted values),若給
,
,計算判斷係數 R
2
,並說明其含意。(5 分)
⑷以α = 0.05 顯著水準,檢定 β
1
之顯著性。(10 分)
附錄:
t
12
(0.05) = 1.782 t
12
(0.025) = 2.179
t
11
(0.05) = 1.796 t
10
(0.05) = 1.812
t
10
(0.025) = 2.228
相關試卷
115年 - 115 身心障礙特種考試_四等_經建行政:統計學概要#138995
115年 · #138995
115年 - 115 關務特種考試_三等_關稅統計(選試英文):統計學#138987
115年 · #138987
115年 - 115 身心障礙特種考試_三等_統計:統計學#138977
115年 · #138977
115年 - 115 關務特種考試_四等_關稅統計(選試英文):統計學概要#138961
115年 · #138961
115年 - 115 身心障礙特種考試_三等_經建行政:統計學#138960
115年 · #138960
114年 - 114 地方政府公務、離島地區公務特種考試_三等_經建行政、農業行政:統計學#134798
114年 · #134798
114年 - 114 地方政府公務、離島地區公務特種考試_四等_經建行政:統計學概要#134781
114年 · #134781
114年 - 114 地方政府公務特種考試_三等_統計:統計學#134714
114年 · #134714
114年 - 114 地方政府公務特種考試_四等_統計:統計學概要#134710
114年 · #134710
114年 - 114 公務升官等考試_薦任_經建行政、工業行政:統計學#133268
114年 · #133268