阿摩線上測驗
登入
首頁
>
統計學
>
96年 - 96 公務升官等考試_薦任_統計、經建行政、工業行政:統計學#50022
> 申論題
題組內容
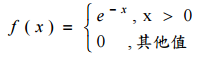
一、某電子零件之壽命為指數隨機變數(單位為小時),其機率密度函數為
⑶於⑴中,若將串聯改為並聯(3 個全壞,壽命才中止),則新系統壽命之機率分 配又如何。(10 分)
相關申論題
⑴若某一系統係由該種零件 3 個串聯而成(3 個中有 1 個壞,則壽命中止),假設 零件間彼此獨立作業,試求此系統壽命之機率分配(需註明分配名稱及其參數)。 (10 分)
#176719
⑵計算此電路系統壽命超過 1 小時之機率。(5 分)
#176720
⑴計算丈夫年所得的期望值 E(X)及變異數 V(X)。妻子年所得的 E(Y)及 V(Y)。(8 分)
#176724
⑵計算 X 與 Y 的相關係數 ρxy 。(7 分)
#176725
⑶今欲對各戶課徵所得稅,兩種課徵方式為: T1 = 0.2 (X + Y) T2 = 0.3 (X + Y − 5) 則何種課徵方式使政府有較多稅收?(10 分)
#176726
⑴若欲作推論,則需對誤差項 ε i 作何種分配假設?(5 分)
#176727
⑵估計樣本迴歸線。(10 分) 12
#176728
⑷以α = 0.05 顯著水準,檢定 β1 之顯著性。(10 分) 附錄: t12 (0.05) = 1.782 t12 (0.025) = 2.179 t11 (0.05) = 1.796 t10 (0.05) = 1.812 t10 (0.025) = 2.228
#176730
四、隨機選取1200名員工,調查某公司生產部門、銷售部門、財務部門、維修部門等四個部門的滿意度,結果如下表所示。試以α=0.05的顯著水準,計算出卡方統計量(請取至小數 點第2位),並試問滿意度是否隨著部門不同而有所不同? [χ 2 (0.05,5)=11.071; χ 2 (0.05,6)=12.592; χ2 (0.05,7)=14.067]以上問題請寫出虛無假設與對立假設(5分)、卡方值(15分)、假設驗證(5分)。
#562245
三、有一平面鐵路經過某一都市的甲、乙、丙三個區,某學者想調查這三區居民對鐵路高架 化的意見,他隨機抽取甲區28名、乙區31名、丙區41名,詢問他們對於鐵路高架化的意 見是贊成或反對?得到下列資料表。試問這三區居民對鐵路高架化的贊成百分比是否相 同?試寫出統計假設(5分)、計算過程(15分)與結果(5分;無上述過程只寫結果不計分)。( = 5.991) 甲區 乙區 丙區 贊成 23 14 31 68 反對 5 17 10 32 28 31 41 100
#562244
相關試卷
114年 - 114 地方政府公務、離島地區公務特種考試_三等_經建行政、農業行政:統計學#134798
114年 · #134798
114年 - 114 地方政府公務、離島地區公務特種考試_四等_經建行政:統計學概要#134781
114年 · #134781
114年 - 114 地方政府公務特種考試_三等_統計:統計學#134714
114年 · #134714
114年 - 114 地方政府公務特種考試_四等_統計:統計學概要#134710
114年 · #134710
114年 - 114 公務升官等考試_薦任_經建行政、工業行政:統計學#133268
114年 · #133268
114年 - 114 公務升官等考試_薦任_統計:統計學#133252
114年 · #133252
114年 - 114 原住民族特種考試_四等_經建行政:統計學概要#130952
114年 · #130952
114年 - 114 原住民族特種考試_三等_經建行政:統計學#130950
114年 · #130950
114年 - 114 普通考試_經建行政:統計學概要#128743
114年 · #128743
114年 - 114 高等考試_三級_經建行政、工業行政、農業行政:統計學#128681
114年 · #128681