阿摩線上測驗
登入
首頁
>
初等/五等/佐級◆統計學大意
> 97年 - 97 初等考試_統計:統計學大意(重複)#48485
97年 - 97 初等考試_統計:統計學大意(重複)#48485
科目:
初等/五等/佐級◆統計學大意 |
年份:
97年 |
選擇題數:
40 |
申論題數:
0
試卷資訊
所屬科目:
初等/五等/佐級◆統計學大意
選擇題 (40)
1 調查班上 10 位同學的身高並根據所得的資料做下列陳述:全校同學的平均身高 165 公分,這是下列那一個 名詞的例子? (A) 敘述統計(descriptive statistics) (B)推論統計(inferential statistics) (C)參數(parameter) (D)母體(population)
2 下列何者不是用來測量資料的分散情形? (A)全距(range) (B)變異數(variance) (C)算術平均(arithmetic mean) (D)標準差(standard deviation)
3 就資料 7, 5, 6, 4, 7, 8, 12 而言,下列何者正確? (A) 均數、中位數及眾數都相等 (B)只有均數及中位數相等 (C)只有均數及眾數相等 (D)只有中位數及眾數相等
4 相關係數r的範圍,下列何者正確? (A)0≦r≦1 (B)-1≦ r ≦ 1 (C)-∞< r <+∞ (D) 1≦ r ≦100
5 單峰左偏(或稱負偏)的資料,其均數、中位數及眾數具有下列何種特性? (A)均數=中位數=眾數 (B)均數<中位數<眾數 (C)均數>中位數>眾數 (D)均數<眾數<中位數
6 若每一個可能的樣本被抽的機會相等,此抽樣方法稱為: (A)簡單隨機抽樣(simple random sampling) (B)分層隨機抽樣(stratified random sampling) (C)部落抽樣(cluster sampling) (D)系統抽樣(systematic sampling)
7 若A與B事件互斥(mutually exclusive),P{A{ = 0.3 且P{B} = 0.5,則P(A∩B) 等於: (A) 0.30 (B) 0.50 (C) 0.00 (D) 0.20
8 若A與B事件互相獨立,P{A} = 0.38 且P{B} = 0.55,則P(A⎮B) 等於: (A) 0.17 (B) 0.00 (C) 0.55 (D) 0.38
9 某一電子工廠有 4 條電子零件生產線(L1、L2、L3、L4),其電子零件在L1、L2、L3、L4 之生產比例分 別是 20%、25%、15%、40%,根據該廠之品管記錄,L1、L2、L3、L4 生產電子零件之不良率分別是 1.5%、 2%、1%、3%,如果該廠隨機抽出一個不良電子零件,則該零件來自L4 生產線之機率為: (A) 0.0215 (B) 0.55814 (C) 0.075 (D) 0.4
10 某家商店 200 位顧客的性別及婚姻狀況之分布如下表:
若已知某一顧客是男的,則該顧客已婚的機率為: (A) 0.1 (B) 0.5 (C) 0.167 (D) 0.833
11 有關波松隨機變數(Poisson random variable)的陳述下列何者正確? (A)具無限多個可能值的離散隨機變數 (B)具有限多個可能值的離散隨機變數 (C)具無限多個可能值的連續隨機變數 (D)具有限多個可能值的連續隨機變數
12 具有n = 100 與p = 0.20 之二項分配(binomial distribution)的變異數為: (A) 100 (B) 80 (C) 20 (D) 16
13 若隨機變數X服從均勻分配(uniform distribution),且 40 ≤ X ≤ 50,則P(35 ≤ X ≤ 45)為: (A) 1.0 (B) 0.5 (C) 0.25 (D) 10
14 若某公司生產燈泡不良率為 4%,則一批含 1450 個燈泡的貨,其不良燈泡之期望個數為: (A) 145 (B) 4 (C) 50 (D) 58
15 假設大學入學考試成績分布為具有均數 500 及標準差 100 之常態分配,則考生成績落在 400 到 600 之間的 機率為何? (A) 0.6826 (B) 0.3413 (C) 0.6667 (D) 0.3174
16 若Z是一個標準常態隨機變數,則P(0<Z<1.5)將會比P(1.5<Z<3.0): (A)相等 (B)大 (C)小 (D)A、B、C都不正確
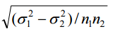
17 若大小分別為 n
1
與 n
2
之兩隨機樣本分別獨立抽自兩個具有變異數
之母體,則其樣本均數差
之抽樣分配的標準誤為: (A)
(B)
(C)
(D)
18 下列何者是對稱的分配? (A)指數分配與均勻分配 (B)常態分配與均勻分配 (C)常態分配與指數分配 (D)所有的連續分配都是
19 已知某生產線 6 公斤裝的麵粉其標準差為 0.6 公斤,欲估計母體均數,在 95%信賴水準下並使估計誤差不超 過 0.15 公斤,至少應抽多少包的麵粉來秤重? (A) 62 (B) 75 (C) 51 (D) 116
20 具有下列機率密度函數之連續隨機變數X的期望值為: f(x) = 2 e
−2 x
, x ≥0 (A)2 (B) 0.5 (C)1 (D) 0.25
21 欲建立母體均數的區間估計值,假設母體標準差 σ 等於 10,其母體均數的區間估計值為 50.92 ± 2.14,則當 σ 等於 20 時,其母體均數的區間估計值應為: (A) 60.92 ± 2.14 (B) 50.92 ± 12.14 (C) 101.84 ± 4.28 (D) 50.92 ± 4.28
22 欲建立母體均數的區間估計值,假設使用 50 個觀察值時,其母體均數的區間估計值為 19.76 ± 1.32,則當樣 本大小n以 200 取代 50 時,其母體均數的區間估計值應為: (A) 19.76 ± 0.33 (B) 19.76 ± 0.66 (C) 9.88 ± 1.32 (D) 4.94 ± 1.32
23 下列何者不是一個好估計式的特性? (A)偏性(Biasedness) (B)一致性(Consistency) (C)相對有效性(Relative efficiency) (D)不偏性(Unbiasedness)
24 當你建好一母體均數的區間估計值後,卻發覺該信賴區間因為太寬而沒有用,此時你可透過下列何種方式 來修正問題? (A)提高母體標準差 (B)提高樣本大小n (C)提高信賴水準 (D)提高樣本均數
25 若某一假設檢定結果,虛無假設(null hypothesis)在 0.10 與 0.05 的顯著水準下皆會被否決,但在 0.01 的顯 著水準下不會被否決,則下列何者為此檢定之p-值(p-value)最正確的陳述? (A)p-value = 0.01 (B)p-value = 0.10 (C) 0.01 < p-value < 0.05 (D) 0.05 < p-value < 0.10
26 統計式
只有在樣本抽自下列何種分配時才具有t分配(t distribution)? (A)t分配(t distribution) (B)常態分配 (C)左偏(或稱負偏)分配 (D)右偏(或稱正偏)分配
27 顯著水準α不變,如果樣本大小n提高,則型Ⅱ錯誤的機率(Type II error)將會: (A)不變 (B)提高 (C)降低 (D)等於 1
28 自一個具有變異數 25 之常態母體抽出大小為 20 之隨機樣本,下列何者適用於建立母體均數之 90%信賴區 間? (A)t = 1.328 (B)t = 1.729 (C) χ
2
= 11.6509 (D)z = 1.645
29 在檢定 200: H0 μ = 相對於 200: H1 μ < 時,若樣本均數為 120,則虛無假設(null hypothesis): (A)會被否決 (B)不會被否決 (C)只有當n > 30 才會被否決 (D)ABC都不正確
複選題
30 一假設檢定的p-值(p-value)是: (A)虛無假設(null hypothesis)會被否決的最小α值 (B)虛無假設(null hypothesis)會被否決的最大α值 (C)虛無假設(null hypothesis)不會被否決的最小α值 (D)虛無假設(null hypothesis)不會被否決的最大α值
31 隨機抽自兩個常態母體的兩個獨立樣本,假設該兩個母體變異數相等,則此兩樣本變異數的比是何種分配? (A)常態分配 (B)t分配 (C)F分配 (D)卡方分配(chi-square distribution)
32 大小分別為 40 與 50 之兩獨立樣本分別隨機抽自任兩個母體以檢定兩個母體均數差 μ
1
− μ
2
,其樣本均數差
之抽樣分配為: (A)常態分配 (B)近似於常態分配 (C)自由度 88 之t分配 (D)自由度 90 之卡方分配(chi-square distribution)
33 大小分別為 n
1
與 n
2
之兩獨立樣本分別隨機抽自兩個非常態母體,其樣本均數差
之抽樣分配為: (A)一定非常態分配 (B)一定為常態分配 (C)當 n
1
與 n
2
都大於 30 時,將近似於常態分配 (D)不管 n
1
與 n
2
的大小,都將近似於常態分配
34 將一元變異數分析(One-way ANOVA)用在抽自具有等變異數的 4 個常態母體的獨立樣本資料的分析上, 如果虛無假設(null hypothesis)被否決,則可做下列何種推論? (A)所有的母體均數都相等 (B)所有的母體均數都不相等 (C)至少有兩個母體均數相等 (D)至少有兩個母體均數不相等
35 就下列不完整的變異數分析表(ANOVA table),檢定統計量F值為何?
(A) 1.25 (B) 6.25 (C) 0.86 (D) 25
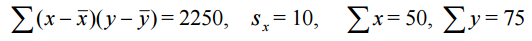
36 在一個簡單線性迴歸分析中,由 10 個觀察值求得下列統計量
則此估計迴歸線的斜率與截距分別是: (A) 1.5 與 0.5 (B) 2.5 與 1.5 (C) 1.5 與 2.5 (D) 2.5 與 –5
37 在一個複迴歸分析中使用了 40 個觀察值及 5 個獨立變數(或稱自變數),其總平方和 SSY = 350 且誤差平 方和SSE = 50,則其複判定係數(multiple coefficient of determination)為: (A) 0.8408 (B) 0.8571 (C) 0.8469 (D) 0.1429
38 在一個複迴歸分析中使用了 50 個觀察值得到下列迴歸估計式
其總平方和SSY =625 且誤差平方和SSE = 175,則其迴歸均方MSR為: (A) 12.50 (B) 275 (C) 150 (D) 3.804
39 下列何者不是二項試驗(binomial experiment)的特性? (A)由一系列相同的試行所組成 (B)每次試行的結果有兩個或兩個以上的可能 (C)每次試行彼此獨立 (D)每次試行成功的機率都相同
40 母體標準差 σ 已知,在 0.05 的顯著水準下檢定 H
0
: μ = 100 相對於 H
1
: μ ≠ 100 之否決區為: (A)|z| < 0.95 (B)|z| > 1.96 (C)z > 1.65 (D)z < 2.33
申論題 (0)
相關試卷
115年 - 115 初等考試_統計:統計學大意#136704
115年 · #136704
114年 - 114 初等考試_統計:統計學大意#124879
114年 · #124879
113年 - 113 初等考試_統計:統計學大意#118524
113年 · #118524
112年 - 112 初等考試_統計:統計學大意#112888
112年 · #112888
111年 - 111 初等考試_統計:統計學大意#105684
111年 · #105684
110年 - 110 初等考試_統計:統計學大意#95422
110年 · #95422
109年 - 109 初等考試_統計:統計學大意#81996
109年 · #81996
108年 - 108 地方政府特種考試_五等_統計:統計學大意#81338
108年 · #81338
108年 - 108 初等考試_統計:統計學大意#73986
108年 · #73986
107年 - 107 初等考試_統計:統計學大意#67404
107年 · #67404