阿摩線上測驗
登入
首頁
>
技師◆程序控制
> 97年 - 97 專技高考_化學工程技師:程序控制#35835
97年 - 97 專技高考_化學工程技師:程序控制#35835
科目:
技師◆程序控制 |
年份:
97年 |
選擇題數:
0 |
申論題數:
9
試卷資訊
所屬科目:
技師◆程序控制
選擇題 (0)
申論題 (9)
【已刪除】一、在程序系統中控制閥有所謂的 AO(air to open)閥與 AC(air to close)閥。而控制 器又有所謂的正作用(direct action)控制器與反作用(reverse action)控制器。通常 控制器輸出增加則儀控空氣隨之增加。圖一有 3 個控制迴路,即 FC 操控 FCV(flow control valve)、LC 操控 LCV(level control valve)與 PC 操控 PCV(pressure control valve)。請決定當儀控空氣停掉時,各控制閥與控制器之正確選擇以期確保工場安 全。請以表一之格式作答。(18 分)
【已刪除】二、一程序動態系統如下式:
請求解並作圖 y(t),t=0~8,其中 u(t)為 unit step function。(12 分)
【題組】
⑴求Y
p
(t) ,
【題組】
⑵求Y
m
(t) ,
【已刪除】
【題組】
⑶擬合(Fitting)
, 找出此 Kp ,θ ,τ 之數值。(20 分)
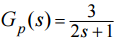
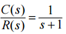
【已刪除】四、在圖二中若
且閉環路控制要求為
,所設計一 PI 控制器
,其K
c
與 τ
I
之值為何?(10 分)
圖二 圖二中 R(s)是 set-point 轉移函數;E(s)是 error 轉移函數;G
c
(s)是 controller 轉移函 數;G
p
(s)是 process 轉移函數;M(s)是 manipulated variable 轉移函數;C(s)是 controlled variable 轉 移函數。 D(s)是 disturbance variable 轉 移函數; G
D
(s)是 disturbance 轉移函數。
【題組】
⑴以圖三之程序由質量平衡與線性化求得於圖二中代表程序與干擾之轉移函數 G
p
(s)、 G
D
(s);(20 分)
【題組】
⑵在圖二中若以一比例控制器進行控制圖三之系統,則圖二中之 D(s)、R(s)、E(s)、 G
c
(s)、M(s)與 C(s)之變數是指什麼變化量?(12 分)
【已刪除】
【題組】
⑶求
。(8 分)
相關試卷
114年 - 114 專技高考_化學工程技師:程序控制#133695
114年 · #133695
113年 - 113 專技高考_化學工程技師:程序控制#123939
113年 · #123939
112年 - 112 專技高考_化學工程技師:程序控制#117666
112年 · #117666
111年 - 111 專技高考_化學工程技師:程序控制#111966
111年 · #111966
110年 - 110 專技高考_化學工程技師:程序控制#104176
110年 · #104176
109年 - 109 專技高考_化學工程技師:程序控制#93303
109年 · #93303
108年 - 108 專技高考_化學工程技師:程序控制#80793
108年 · #80793
107年 - 107 專技高考_化學工程技師:程序控制#73011
107年 · #73011
106年 - 106 專技高考_化學工程技師:程序控制#66471
106年 · #66471
104年 - 104 專技高考_化學工程技師:程序控制#41517
104年 · #41517