阿摩線上測驗
登入
首頁
>
流體力學
> 97年 - 97 身心障礙特種考試_三等_水利工程:流體力學#34481
97年 - 97 身心障礙特種考試_三等_水利工程:流體力學#34481
科目:
流體力學 |
年份:
97年 |
選擇題數:
0 |
申論題數:
4
試卷資訊
所屬科目:
流體力學
選擇題 (0)
申論題 (4)
【已刪除】一、 有一均質矩形水門 CD 長 2.0 m,寬 1.0 m,如圖所示。忽略C 點絞鏈(Hinge)的 摩擦力,計算維持水門關閉所需要的水門重 (25 分)
【已刪除】二、 如圖,有一直徑 60 mm、速度為 40 m/s之軸對稱水平空氣噴束。若空氣噴束衝擊到 直徑 300 mm之垂直平板,並經由直徑 15 mm之同心圓孔以速度 40 m/s流出。已知 空氣密度為1.23kg/m
3
,試決定支撐平板於圖示位置所需的水平力大小及方向為若干?(25分)
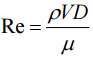
【已刪除】三、 一顆直徑D=0.1 mm,比重SG=2.5 之球形砂粒,在靜止水中的沉降速度V為多少? 已知水的密度ρ=1000 kg/m
3
,黏度μ=1.12×10
-3
N.s/m
2
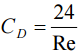
,假設在史托克定律 (Stokes law)下,阻力係數
,
為雷諾(Reynolds)數。此時雷諾 數為多少?是否滿足史托克定律?(25 分)
【已刪除】四、 如圖,水由下水箱以抽水機抽到上水箱,流量Q為 0.020 m
3
/sec ?(25 分)。兩水箱之水位差為 12 m,管路總長為 20 m,管徑為 5 cm。管壁之摩擦係數f=0.02,管路之次要損失係 數K
L
為 0.30,試求抽水機之功率
相關試卷
114年 - 114 地方政府公務特種考試_三等_水利工程:流體力學#134777
114年 · #134777
114年 - 114 地方政府公務特種考試_四等_水利工程:流體力學概要#134736
114年 · #134736
114年 - 114 專技高考_水利工程技師:流體力學#133675
114年 · #133675
114年 - 114 公務升官等考試_薦任_水利工程:流體力學#133259
114年 · #133259
114年 - 114 普通考試_水利工程:流體力學概要#128762
114年 · #128762
114年 - 114 高等考試_三級_水利工程:流體力學#128749
114年 · #128749
114年 - 114 身心障礙特種考試_三等_水利工程:流體力學#126638
114年 · #126638
113年 - 113 地方政府公務特種考試_三等_水利工程:流體力學#124528
113年 · #124528
113年 - 113 地方政府公務特種考試_四等_水利工程:流體力學概要#124496
113年 · #124496
113年 - 113 專技高考_水利工程技師:流體力學#123974
113年 · #123974