阿摩線上測驗
登入
首頁
>
作業研究
> 98年 - 98 公務升官等考試_簡任_工業工程:作業研究(包括線性規劃與等候理論)#33072
98年 - 98 公務升官等考試_簡任_工業工程:作業研究(包括線性規劃與等候理論)#33072
科目:
作業研究 |
年份:
98年 |
選擇題數:
0 |
申論題數:
9
試卷資訊
所屬科目:
作業研究
選擇題 (0)
申論題 (9)
⑴寫出每個決策變數的定義。(3 分)
⑵建立此問題的線性規劃模式(不要求解)。(17 分)
⑴使用圖解法求解此問題。(5 分)
⑵解釋何謂陰影價格(Shadow Price),並使用圖解分析,找出資源3的陰影價格。(10分)
⑶找出第三個限制式右端值(目前為 18)的可行許可範圍。(10 分)
【已刪除】三、考慮下列整數非線性規劃問題:(25 分)
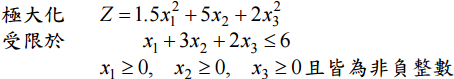
使用動態規劃(Dynamic Programming)求解此問題。
⑴建構此等候系統的轉移速率圖(the rate diagram)。(5 分)
⑵建構平衡方程式,並據以求出Pn,n=0,1,2,…。(10 分)
⑶計算顧客在此系統的期望總時間(包含被服務的時間和等候時間)W 與期望等候 線長度 L。(15 分)
相關試卷
114年 - 114 地方政府公務特種考試_三等_工業工程:作業研究#134713
114年 · #134713
114年 - 114 專技高考_工業工程技師:作業研究#133680
114年 · #133680
114年 - 114 高等考試_三級_工業工程:作業研究#128750
114年 · #128750
113年 - 113 地方政府公務特種考試_三等_工業工程:作業研究#124521
113年 · #124521
113年 - 113 專技高考_工業工程技師:作業研究#123885
113年 · #123885
113年 - 113 高等考試_三級_工業工程:作業研究#121489
113年 · #121489
112年 - 112 地方政府特種考試_三等_工業工程:作業研究#118325
112年 · #118325
112年 - 112 專技高考_工業工程技師:作業研究#117594
112年 · #117594
112年 - 112 公務升官等考試_薦任_工業工程:作業研究#117328
112年 · #117328
112年 - 112 高等考試_三級_工業工程:作業研究#115450
112年 · #115450