阿摩線上測驗
登入
首頁
>
作業研究
>
98年 - 98 公務升官等考試_簡任_工業工程:作業研究(包括線性規劃與等候理論)#33072
> 申論題
題組內容
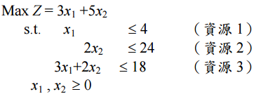
二、考慮下列問題:
⑶找出第三個限制式右端值(目前為 18)的可行許可範圍。(10 分)
相關申論題
⑴寫出每個決策變數的定義。(3 分)
#79574
⑵建立此問題的線性規劃模式(不要求解)。(17 分)
#79575
⑴使用圖解法求解此問題。(5 分)
#79576
⑵解釋何謂陰影價格(Shadow Price),並使用圖解分析,找出資源3的陰影價格。(10分)
#79577
⑴建構此等候系統的轉移速率圖(the rate diagram)。(5 分)
#79579
⑵建構平衡方程式,並據以求出Pn,n=0,1,2,…。(10 分)
#79580
⑶計算顧客在此系統的期望總時間(包含被服務的時間和等候時間)W 與期望等候 線長度 L。(15 分)
#79581
(三)若此消費性產品的市場有 10,000 名消費者,每位消費者平均一年購買 一次,A, B, C 品牌的單位售價分別為$600, $900, $1,200。請計算長期下來該消費性產品每年的總銷售額為多少?
#560545
(二)計算穩定狀態機率。
#560544
(一)寫出此問題的一階移轉機率矩陣(transition matrix)。
#560543
相關試卷
114年 - 114 地方政府公務特種考試_三等_工業工程:作業研究#134713
114年 · #134713
114年 - 114 專技高考_工業工程技師:作業研究#133680
114年 · #133680
114年 - 114 高等考試_三級_工業工程:作業研究#128750
114年 · #128750
113年 - 113 地方政府公務特種考試_三等_工業工程:作業研究#124521
113年 · #124521
113年 - 113 專技高考_工業工程技師:作業研究#123885
113年 · #123885
113年 - 113 高等考試_三級_工業工程:作業研究#121489
113年 · #121489
112年 - 112 地方政府特種考試_三等_工業工程:作業研究#118325
112年 · #118325
112年 - 112 專技高考_工業工程技師:作業研究#117594
112年 · #117594
112年 - 112 公務升官等考試_薦任_工業工程:作業研究#117328
112年 · #117328
112年 - 112 高等考試_三級_工業工程:作業研究#115450
112年 · #115450