所屬科目:高中指考◆物理
1.若有一行星繞著恆星S作橢圓軌道運動,則下列有關 行星在圖1所示各點的加速度量值的敘述,何者正確? (A)所有點都一樣大 (B) 點A處最大 (C) 點B與點F處最大 (D) 點C與點E處最大 (E) 點D處最大
2.如圖2所示,一單擺左右來回擺動,擺錘受有重力W、擺線的張力T與空氣阻力R。下列有關此三力對擺錘作功的敘述何者正確?
(A)W一定作正功,T一定作負功θT(B)R一定作負功,T一定不作功(C)W一定作正功,R一定作負功(D)T與W一定作正功,R一定作負功W(E)W與R一定作負功,T一定不作功
3.如圖3所示,是由左向右行進的一週期波,其長波列的一部分波形。設此時t=0,P點的位移為y0。下列哪一項是在t=0以後的時間中,P點位移隨時間變化的圖?(A)(B)(C)(D)(E)
4.長度為的閉管(一端閉口,另一端開口),其基音頻率為;長度為lB的開管(兩端開口),其基音頻率為。已知等於,則lA對的比值為下列哪一項?(A)4(B)2(C)3/2(D)1(E)1/2
6.如圖4所示,一發光點從凸面鏡主軸上的P點沿主軸緩慢向鏡頂O移動,則此光點的像,其位置以及其移動的方向為下列哪一項?(A)先成像於鏡前,接著成像於鏡後鏡後鏡前(B)成像於鏡後,遠離O點移動(C)成像於鏡後,朝向O點移動發光點O●(D)成像於鏡前,遠離O點移動P(E)成像於鏡前,朝向O點移動
8.如圖5所示,一水管水平放置,水以1.50kg/s的固定速率,穩定地從甲截面流入,從乙截面流出。已知甲截面的面積為12.0cm2,乙截面的面積為5.00cm2。假設管內同一截面上各點的流速相等,則甲截面的水流速和乙截面的水流速各為下列哪一項?
(A)=3.00m/s,=1.50m/s(B)=2.50m/s,=1.50m/s(C)=1.25m/s,=3.00m/s(D)=1.00m/s,=3.00m/s(E)=1.00m/s,=4.25m/s
9.在一開口水槽的平靜水面上,將一半徑為2.5cm、質量為2.4g細鋁線製成的圓圈(鋁的密度為2.70g/cm3),輕輕平放該水面上而不下沉,則水的表面張力最可能是下列哪一項?(A)7.5×1N/m(B)1.5×N/m(C)1.2×N/m2(D)2.4×N/m2(E)2.4×N
11.如圖6所示,甲、乙、丙、丁四個方形線圈以相同水平速度v分別進入垂直射出紙面的均勻磁場B中,四個線圈的邊長如圖所示之尺寸,則在四個線圈剛進入磁場時,它們的感應電動勢的量值之關係為下列何者?
(A)甲=丁<丙<乙(B)甲>乙>丙>丁(C)丁>丙>乙>甲(D)甲=乙>丙>丁(E)丁>丙=乙>甲
13.如圖7所示,一質量為m的棒球以速度v水平飛向擊球手,擊球手揮棒擊球,使球以速度v鉛垂向上飛出,設水平飛行方向為+x,鉛垂向上飛出方向為+y,則球所受到衝量的量值及方向為下列何者?
(A)2mv,向+y方向v(B)mv,與+x方向成45°v(C)mv,與+x方向成135°(D)√2mv,與+x方向成45°y球棒(E)√2mv,與+x方向成135°x
15.如圖9所示,長5.0m的均勻細線,質量為0.010kg,一端繫於固定在桌上的起振器P點,另一端經光滑的定滑輪Q,懸掛質量為1.0kg的重物,4.0mPQ間恰好是4.0m。調整起振器的振動頻率,直到PQ間產生PQ三個清楚的駐波波節(不含P、Q兩節點)為止,若繩波的速率等於,其中Τ及µ分別為繩之張力及線密度,則當時起µ振器的振動頻率為若干?
(A)3Hz(B)10Hz(C)35Hz(D)41Hz(E)140Hz
16.如圖10所示,在一厚度為d的門中,安置一長度與門厚相同的玻璃圓柱體,其半3d4徑為r。若玻璃圓柱體的折射率,且,則從門外射入門內的光線中,可到2r3達玻璃圓柱體右側中心點P的最大角θ(如圖所示)的正弦值(sinθ)為下列何者?
(A)(B)(C)(D)(E)
17.小明將L、M、N三種單色光在同一雙狹縫的裝置上作繞射實驗,在所有實驗條件相同狀況下,L、M、N三種單色光分別在屏幕上獲得如圖11的甲、乙、丙三種干涉條紋,則下列敘述何者正確?
(A)L光的波長最短(B)M光在水中傳播的速度最慢(C)N光的頻率最低(D)三種單色光波長大小關係為L光>M光>N光(E)三種單色光的每個光子能量均相同
20.設人造衛星以半徑r繞地心作圓軌道運動,令地球的質量為M,萬有引力常數為G, 則人造衛星與地心的連線,在單位時間內所掃過的面積為下列哪一項? (A) (B) (C) (D) (E)
21.如圖12所示,以輕繩繫住的小球,繞一水平軸在一鉛垂面作順時針、半徑固定的圓周運動,O點為其圓心。相對O點而言,若忽略空氣阻力,則有關小球的角動量和小球所受的力矩的敘述,下列哪些項正確?(A)繩上的張力不影響小球的角動量(B)小球角動量的方向是垂直射出紙面‧OP(C)小球角動量在S點時比在P點時為小●Q(D)小球所受的重力力矩,在P點時比在Q點時為大S(E)小球角動量隨時間的改變率,在S點時比在Q點時為大
22.如圖13所示,有四條垂直紙面且互相平行的長直導線,它們與紙面的交點分別為P、Q、N及S,緊鄰兩條導線的間距為2a,圖中正方形中心O點為參考坐標x-y的原點,都在紙面上,M為PS連線的中點。已知四條長直導線上的電流大小都為I,電流的方向也都是射出紙面,則下列敘述哪些正確?(A)O點的磁場等於零(B)M點的磁場指向+x方向(C)M點的磁場的大小等於(D)與紙面交點為S的導線所受到磁作用力的方向為2axO由O指向S(E)在紙面上距離O點為r(ra)的任一點,其磁場的
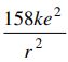
23.動能為E的α粒子(Z=2,A=4)由無限遠處,向固定不動的金原子核(Z=79,A=196)作正面彈性碰撞,設r為碰撞過程中,α粒子與金原子核的距離,k為庫侖常數,e為基本電荷的電量,並取r=∞時的電位能為零,若忽略重力,則下列敘述哪些項正確?158ke2(A)α粒子在碰撞過程中,在r處受到的排斥力(B)α粒子在碰撞過程中,在r處的電位能為(C)α粒子在碰撞後,其運動方向與原入射方向相反(D)α粒子在碰撞過程中的最小動能為(E)α粒子在碰撞過程中的最小距離為
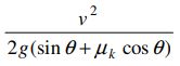
24.如圖14所示,在一斜角為θ、固定於水平地面的斜面上L處,有一質量為m的物體以v的初速度上滑,物體與斜面間的靜摩擦係數為µs,動摩擦係數為µk,物體可達到的最高點H的垂直高度為h。設重力加速度為g,並忽略空氣阻力,則下列敘述哪些項正確?
(A)(B)(C)L至H的長度為(D)若>tanθ,物體在H處的加速度為零圖14(E)當物體到達H處即將下滑的瞬間,物體的加速度為g(sinθ−µscosθ)