所屬科目:電子學及控制系統
第一大題請說明電力電子常用元件(a) SCR之導通方法,及(b) 三種以上使SCR停止導通(截止)的方法。
第二大題請寫出電力電子用閘流體GTO 之英文全名,並說明其功能及與SCR在導通/截止的不同處。
(a)負載之電流峯值(Im)
(b)輸出電壓平均值(Vdc)
(c)負載電流 RMS 值 (Irms)
(d)輸出至負載的功率(Po)
(e)若觸發角度由SCR控制於波之42度導通,計算輸出電壓平均值(Vdc@42°)變為多少?
第四大題如圖A為開關及直流電驛電路,若Vs=40V,電驛阻抗R=2kΩ,L= 1000 H,須使電驛動作之電流為10mA,試計算開關S₁於t=0秒閉合,電驛須於t=0秒後多久才會動作(假設D為理想二極體)?
第五大題參考圖B,請以 NPN晶體、二極體、電感及電容等四個元件,設計並繪出(a) Buck Regulator (降壓調整器),及(b) Boost Regulator (昇壓調整器)二種線路圖,使直流電源Vs轉移不同電壓至負載RL。
(a) NPN晶體每週期導通之時間 TON
(b)流經電感之電流變化量△IL
(c)負載所消耗之功率P。
第七大題述說PWM應用在電力電子控制之功能,及PWMIC晶片內主要功能區塊的說明。
第八大題在控制系統之教程中,經常將物理系統之時域(time domain)動態方程式利用拉氏轉換(Laplace transform)轉換至S領域(Sdomain)中進行研析,例如轉移函數(transfer function)等。請說明此「拉氏轉換」的作用(目的)為何?
第九大題某一系統之步階響應(step response)為-e¯¹ (t+1),試求該系統對輸入信號u(t)=e^-21之時間響應(time response)為何?
第十大題某一轉移函數為,輸入為u(t) = sin(2t)之系統,則 y(t)之穩態響應為何?
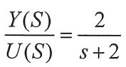
第十一大題圖C為控制系統 Gp(s)的頻率響應大小近似圖,若G(s)為極小相系統,請計算出 Gp(s)的轉移函數為何?
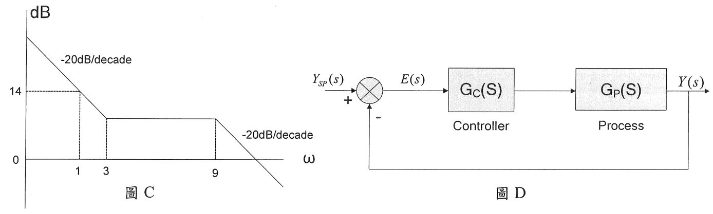
(a)請寫出該製程(process)之轉移函數 Gp(s)
(b)求出該系統閉迴路轉移函數之特性方程式(characteristic equation),並繪出KC由0→∞時,該系統之根軌跡圖。並說明控制器之 KC增大時,是否會使該系統輸出產生振盪之現象?
(a)請寫出該製程(process)之轉移函數GP(s)
(b)求出該系統閉迴路轉移函數之特性方程式(characteristic equation),並計算Kc於0、3.0345、21、50時,該系統之極點(pole)位置(以直角座標表示)。
提示:
(c)依 (b)項所求之結果,繪出 Kc增加時之軌跡圖,並說明 KC 大於何值後,系統會開始不穩定?並說明原因。
第十四大題試以邏輯閘 AND、OR、NOT與 SR 正反器,設計符合下列功能之邏輯。設計一邏輯,其作用為FIRST OUT(用來指示數個輸入信號中,那一個輸入信號最先出示(發生)),即現有 A、B及C三個輸入,設計三個輸出指示,於系統 RESET(復歸)後,若任一個輸入出示(指邏輯”1”),則系統輸出相對應之指示並記憶住(LATCH),且其他輸入若於隨後出示,也不會被指示或記憶住。直至所有輸入均不存在(指邏輯”0”),按下「RESET」始能清除所有的指示記憶。